作者:Brian Tomasik
首次发表:2017年5月17日;最后更新:2017年5月18日
摘要
从河流、湖泊和水库等地表水源取水时会带走浮游动物,这些浮游动物往往会在水处理或使用过程中的某个阶段被杀死。本文估计,大致而言,使用公共供水的典型美国人每天通过家庭用水会杀死约2000只甲壳类浮游动物。平均每个美国人每天还会通过灌溉用水杀死约8000只甲壳类浮游动物。这些数字是保守估计,因为
- 它们不包括轮虫,而轮虫在淡水中的数量往往比甲壳类浮游动物更多
- 它们不包括线虫或其他水生无脊椎动物
- 它们不包括家庭用水和灌溉以外的取水
- 它们假设地下水取水不会杀死浮游动物。
典型美国人每年通过家庭用水和消费灌溉食品而杀死的水生无脊椎动物,其神经元总数相当于大约20只鸡,可能比这个数字还要高几倍。
虽然用水对野生无脊椎动物痛苦的总体影响很复杂,但我初步建议读者减少自己的用水量,特别是如果他们使用公共供水。减少浇灌草坪和室内植物也有另一个好处:即减少植物生长会降低陆生无脊椎动物的数量,这些动物将被迫忍受出生后不久就死亡的痛苦。
除了减少家庭用水外,你还可以在决定居住地时将水源作为一个考虑因素。来自水井的自供水和来自深层地下的公共供水可能含有的浮游动物要比地表水少得多。本文的这一部分讨论了如何确定美国某个居住区是使用地表水还是地下水。
目录
在饮用水中发现的桡足类
2004年,拉比发现纽约市(NYC)的饮用水中有桡足类。这引发了正统犹太教徒之间的一场争论,讨论这种水是否符合犹太教规,因为桡足类是像虾和龙虾一样的甲壳类动物。《纽约时报》解释道:
这一发现改变了纽约市数万名正统犹太教徒的日常生活。布鲁克林、曼哈顿和皇后区的水管工被召来安装水过滤器——有些价格超过1000美元——数十家餐馆在橱窗上张贴告示,宣传他们过滤水。
虽然水过滤器可能使纽约市的自来水更符合犹太教规,但它们并没有解决在水处理和消费过程中杀死这些桡足类所涉及的动物痛苦问题。
在纽约市:"从水龙头流出的桡足类在几乎所有情况下都是死的。据信,长期接触氯气以及通过输送系统的旅程是导致这种情况的原因。缺乏运动使得很难发现桡足类。"
这篇文章说:"纽约市的供水系统,像大多数城市一样,在某个时候用氯处理水以杀死水中的生物。然而,虽然已经死亡,但整个动物仍可以在消费者的自来水中看到,呈现为可见的白点,有时可以识别为整个谢雷茨[不洁动物](有时甚至可以看到触角),有时它们是破碎的,有时需要放大工具才能帮助识别。"
正统联盟说纽约市的水"主要物种是Diacyclops thomasi"。右图显示了这个物种的一个个体。
不需要过滤地表水的城市
大城市的自来水中并不总是存在桡足类。据《纽约时报》报道:"这种骚动主要局限于纽约,因为它是少数几个免于联邦过滤要求的城市之一。波士顿和西雅图也获得豁免,但它们的正统犹太教徒人数远不及纽约市。"这个页面补充说,纽约市环境保护局(DEP)的Farrell Sklerov"解释说,许多城市都会过滤他们的水,但如果水质超过联邦标准——纽约市自来水就是如此——就不需要过滤,这个过程会去除桡足类。Sklerov说,其他不过滤水的城市包括波士顿、旧金山、西雅图和波特兰。"因此,许多城市确实会过滤掉饮用水中的桡足类等浮游动物。但这并不意味着这些城市不会杀死浮游动物。
这个页面解释道:
美国有7,400个地表水系统,其中7,310个有过滤厂。如果维护得当,市政过滤会成功去除水中的桡足类和相关生物,达到犹太法律可接受的水平。在90个不过滤水的系统中,大多数服务于很小的人口。除了[小城市外,]纽约市、锡拉丘兹和西雅图是(至少部分)不过滤水的大城市的例子。
维基百科回应道:"波士顿、纽约市、旧金山、丹佛和俄勒冈州波特兰是美国不需要对地表水源进行消毒以外处理的大城市之一,因为它们的水源位于受保护流域的上游,因此天然非常纯净。"
Evins (2004), p. 104:"当来自高地水库的微生物质量良好、悬浮固体含量低的水只接受有限处理时,浮游生物可能会以相当数量进入配水系统。然而,它们通常不会在那里繁衍。"
自来水的来源
纽约市的桡足类来自水库:"1994年和1995年,环境保护局对水库的桡足类种群进行了研究。这些研究发现所有水库中都有桡足类。"这个页面也说桡足类"可以在大多数淡水栖息地中找到,包括为纽约等城市提供公共饮用水的水库。"
湖泊、水库,在某种程度上还有河流充满了浮游动物,许多人口密集地区的自来水来自湖泊、水库和河流。例如:
- 纽约市的水来自新克罗顿水库、"卡茨基尔山东部的两个水库"和"卡茨基尔山西部的特拉华河支流"。此外,水在到达目的地之前会储存在水库中:"来自[卡茨基尔和特拉华]两条输水管道的水首先储存在大型肯西科水库中,随后储存在离城市更近的小得多的希尔维尤水库中。"
- 旧金山湾区从多种来源获得水,包括许多通过筑坝河流而建造的水库,如赫奇赫奇水库。一些水也"来自当地的溪流和河流,由降雨供给或[...]来自地下含水层。"
- 芝加哥的自来水来自密歇根湖。
- 科罗拉多州博尔德市的水"来自融雪,流经河流、溪流、湖泊、池塘和水库"。
- 西雅图公共事业局的"2015年饮用水质量报告"称(第6页):"两个地表水源提供了我们系统的大部分水。2015年,约61%来自雪松河。约37%来自托尔特河南叉。除了这两个受保护的喀斯喀特山脉流域外,该系统还可以使用位于布里恩的井,这些井只用于满足夏季高峰需求。"
- 宾夕法尼亚州的一个小城市切斯特的水由切斯特水务局(CWA)处理。CWA奥克托拉罗处理厂从"奥克托拉罗溪上的奥克托拉罗水库和萨斯奎汉纳河的科诺温戈池"取水。
- 伦敦的水主要来自泰晤士河和利河。河水可能储存在水库中,如雷斯伯里水库和王太后水库。
这篇论文说"水库提供了佐治亚州大部分的饮用水"(第4页)。
然而,一些城市从地下水获得自来水。许多农村地区使用井水作为饮用水。在美国,4000万人从私人水井获得水,"超过1.5亿美国人的饮用水以某种形式来自地下水"。
水处理中的浮游动物
英国
这个页面解释道:
大量进入处理厂澄清过程的浮游动物会堵塞过滤器,这可能会减少运行时间和工厂效率。
过程中的生物量也可能吸收絮凝阶段的铁或铝化合物,这将影响所需的剂量水平。
进入配水系统的浮游动物可能会很难看,并会从主管道中吸收有机物,造成变色问题[...]
当地表水被处理时,绝大多数这些动物和植物都会被去除。然而,有时动物和藻类可以通过水过滤器进入配水系统,将水输送到家庭和工作场所。
纽约市
正统联盟解释道:
- 水蚤(枝角类)也是浮游生物,但许多物种每年只在几周内大量出现。它们也比桡足类更脆弱,不太可能存活到水龙头。它们只是偶尔大量出现在水龙头中。
- 线虫、端足类和介形类都生活在水库和湖泊底部,而不是在开阔水域。因此,它们不太可能被吸入水库的流出物中。在纽约市自来水中曾发现过所有这些生物的孤立发现,但频率低到在犹太法律上并不重要。
- 轮虫很常见,但它们非常小(~0.1毫米)通常被认为是微观的。它们无法用肉眼识别。
中国
Lin等人(2014), 第2846页:
近年来有报道称无脊椎动物在生物活性炭(BAC)过滤器中繁殖,从而危及产品水的质量。由于中国富营养化和过度捕捞的加剧,在饮用水源中发现了大量的食草浮游动物种群,这增加了浮游动物出现在水厂的可能性。[1,2] BAC过滤器中的溶解氧和颗粒为桡足类浮游动物的繁殖提供了合适的生存环境和丰富的食物来源。[3] 桡足类表现出很强的活力和转移潜力,可以轻易穿透BAC过滤器。它们可能污染产品水,甚至进入市政配水网络,[4,5]这对人类健康构成威胁。[6,7] 浮游动物肉眼可见,这会导致消费者觉得水不卫生。除了对饮用水美学价值的负面影响外,浮游动物的存在——可能携带细菌等微生物——增加了对人类健康的威胁。[8,9] 在中国北方石家庄的一个水厂中存在浮游动物[10],并在吉林省的家庭供水中有记录。[11]
水处理过程中浮游动物的损失
一般信息
Christensen (2011), 第33页:"砂滤器会保留一些无脊椎动物,防止它们进入饮用水配水系统。"
van Lieverloo等人(2002), 第1724页:
目前,在大多数地表水处理厂,原生动物和无脊椎动物的去除是藻类去除的一部分,通常被认为不太重要。[...] 小型运动无脊椎动物,如线虫(59,60,62,64,65)和轮虫(38,105),几乎不会被一些使用凝聚和沉淀后接快速重力过滤的地表水处理厂去除,无论是否加氯。[...] 然而,浮游生物比底栖生物更容易在处理中被去除(107)。此外,众所周知,慢砂过滤器比快速重力过滤器更能去除无脊椎动物(27,107,108),快速重力过滤器的反冲洗速率控制着无脊椎动物的去除(109)。
Liu等人(2007)在他们的"引言"中提到(第18261826-27页):
水体污染导致的富营养化导致水体中浮游动物剑水蚤过度繁殖,由于其对氧化的强烈抵抗,常规的氯化消毒过程难以去除。此外,剑水蚤的运动能力使其能够轻易从砂滤器穿透到水厂的清水池,甚至进入市政配水网络。[...]
饮用水中出现穿透过滤池的剑水蚤表明,常规的絮凝、沉淀和过滤水处理工艺无法彻底去除水中的剑水蚤(Liu等,2004a; 2004b; 2005; 2006)。因此,本文提出了用常规水处理工艺去除剑水蚤,然后研究化学预氧化与常规工艺合作去除剑水蚤的可行性。考虑了以下步骤:利用氧化剂彻底灭活剑水蚤,通过预氧化抑制其活性,然后通过后续澄清过程彻底去除(Kanio和Kimata, 2000; Reckhow等, 1990; Fiessinger, 1991)。
用氧化剂灭活或削弱剑水蚤被认为是从水处理系统中完全去除剑水蚤的关键(Ruffell等, 2000; Gunter和Pinkernell, 2000; Driedger等, 2001)。
我不确定在实际水处理中灭活桡足类的预氧化有多普遍。
Demir和Atay (2002)
Demir和Atay (2002)研究了伊维迪克水处理厂,该厂是"土耳其最大的水处理厂","在欧洲排名前10的处理厂之一"。Demir和Atay (2002)将该厂的处理步骤说明如下:

在图中标有"X"的位置采集了水样。下表显示了这些位置的各种测量结果,包括浮游动物密度。

"平衡室"是图中水分配给最终用户之前的最后一步。如你所见,到这一步时每升水中只剩下约1个浮游动物,尽管我们在"混合室"(即"两个水库的水混合的房间",第230页)开始时每升有81个。浮游动物在处理过程中逐渐被消除。
这里杀死的浮游动物数量可能高于平常,因为"根据浮游植物指数,两个水库都被归类为富营养(13,22)"(第233页)。话虽如此,进水中每升81个浮游动物的丰度低于例如Snow (1974)发现的每升139.7个。另一方面,取水处理的水来自12到20米深处(Demir和Atay, 2002,第232页),"在这些深度,浮游生物的丰度显著降低",所以表面浮游动物的丰度可能远高于每升81个?
Lin等人 (2010)
Lin等人(2010)研究了中国一个水处理系统中的浮游动物。作者在引言中解释道(第512-513页):
近年来,颗粒活性炭(GAC)过滤器被用作中国南方一些水厂饮用水净化的高级处理方法。GAC过滤通常在砂过滤之后和最终氯化之前应用。然而,一些报告表明,无脊椎动物可能在GAC过滤器中繁殖,从而危及最终产品的质量(Schreiber等人,1997; Castaldelli等人,2005; Weeks等人,2007)。事实上,在中国南方水厂的GAC过滤器中常见剑水蚤和哈帕蒂科蚤等桡足类(Li等人,2007)。浮游动物对氧化有很强的抵抗力,常规消毒方法如氯化不能有效去除(Lin等人,2004; Liu等人,2007)。此外,浮游动物的运动能力使它们能够轻易穿透GAC过滤器并进入水厂的清水池,甚至可能进入市政配水网络。浮游动物肉眼可见,这会导致消费者觉得水不卫生。[...]
使用饮用水公用事业常用剂量的液氯很难杀死桡足类。此外,使用更高剂量的氯来完全灭活桡足类可能会产生消毒副产物。作为氯的替代品或补充消毒剂,氯胺产生的消毒副产物较少,暴露时间比氯更长(Vasquez等人,2006; Hua和Reckhow,2007)。此外,有报道称氯胺在灭活桡足类方面比氯更有效(Farrell等人,2001)。在本研究中,进行了实验来调查桡足类在GAC过滤器中繁殖的原因,并比较了氯胺和液氯对它们的消毒效果。
为了培养桡足类(第513页):"最初从中国南方(江苏省)一个市政水厂的GAC出水中收集成熟的桡足类,然后在实验室中人工培养。"
下图显示了水源中桡足类的丰度(第514页)。你可以看到更富营养的水中桡足类更多。

这个表格显示了不同种类的浮游动物和原生动物在水处理过程中的百分比如何变化,从原水、通过砂过滤、通过臭氧处理,到GAC过滤。

你可以看到,在原水中,桡足类只占测量生物的5.3%,但大多数非桡足类生物被砂过滤去除了。
然而,我推测这些被过滤掉的生物大多在砂滤器中被杀死,可能是被困在那里?或者也许这些生物通过反冲洗被去除?维基百科解释道:"砂滤器在使用一段时间后会被絮凝物堵塞,然后进行反冲洗或压力冲洗以去除絮凝物。这种反冲洗水被排入沉淀池,使絮凝物可以沉淀下来,然后作为废物处理。上层清水然后被重新送回处理过程或作为废水排放。"我猜测大多数生物在处理的某个阶段被杀死。
Lin等人(2010)解释说,由于桡足类是运动的,一些可以通过砂滤器进入"后续的臭氧接触池"(第514页)。事实上,下图(第515页)显示了有多少桡足类通过了每个阶段。这些是出水中的密度,所以例如,"砂滤器"的柱状表示通过砂过滤的桡足类数量。

Lin等人(2010)指出:"GAC过滤器出水中桡足类的密度约为砂滤器的三倍(图2),这表明桡足类在GAC过滤器中繁殖。"为什么桡足类在GAC过滤器中数量增加?基于在类似人工条件下培养桡足类的结果,作者推测桡足类在GAC过滤器中繁盛是由于高溶解氧、丰富的食物、保护性环境和没有鱼类捕食者(第516页)。
Lin等人(2010)然后实验了使用各种剂量的氯或氯胺对GAC过滤器出水中的桡足类进行灭活(第519页)。在下图中,"CT"是"消毒剂浓度和接触时间的乘积"(第517页)。

地下水情况如何?
我的印象是地下水不太可能含有大量浮游动物。由于它在地下,没有阳光可以为藻类生长提供能量。一些浮游动物(包括一些枝角类和轮虫)以细菌和原生动物为食,地下水可能含有一些这些微生物:"根据俄勒冈州立大学和推广毒理学网络的说法,大肠杆菌等大肠菌群细菌、贾第鞭毛虫和隐孢子虫等寄生原生动物、甲型肝炎等病毒和蠕虫等寄生虫是影响未处理井水质量的常见水生微生物污染物。"这个页面说:"微生物[...]等都可以在地下水中找到痕迹。"然而,同一页面说"大多数地下水被认为是安全的"。BWB (2014)关于柏林的水说(第6页):"来自地下水储备的饮用水被认为没有细菌,因此不需要氯化。"
维基百科说:"深层地下水的细菌学质量通常非常高(即通常不存在致病细菌或致病原生动物)"。话虽如此,这项关于孟加拉国管井的研究报告:
最近的研究表明,孟加拉国的地下水系统越来越容易受到微生物和重金属污染,特别是砷。即使在发达国家也会出现这样的问题。例如,1994年在华盛顿州的一个农村社区爆发了隐孢子虫病,那里的水由两口未经氯化的深井供应(4)。
除了化学污染物外,真核微生物(原生动物)也是地下水含水层中微生物群落的重要组成部分。考虑到许多原生动物通过吞噬(细菌食性)或渗透(能够在黑暗中利用溶解有机碳生长)进行异养,这并不意味外。原始的、未受污染的含水层中水中的原生动物数量通常很低[...],但在有机含量高的受污染含水层中可能增加几个数量级。小鞭毛虫(原位通常为2-3μm大小)是含水层中最主要的[原生动物],尽管变形虫和偶尔的纤毛虫也可能以相对较低的数量存在(17)。
2016年9月和2017年3月3日,我简要检查了纽约州奥尔巴尼附近一个农村地区房屋的自来水中是否有无脊椎动物。我使用了一个显微镜相机,它允许我注意到直径小至约0.2毫米的移动生物。在这两次检查中我都没有发现任何无脊椎动物,尽管我只检查了几毫升水,所以不会注意到非常低密度的生物。建造这所房子的人告诉我,它的自来水来自一口深井(几百英尺深)。水完全没有经过处理。
根据van Lieverloo等人(2002)(第1723页),地下水有时确实含有无脊椎动物,尽管根据这段话我猜测浅层地下水中的密度比深层地下水高:
虽然不如地表水明显,但地下水生物群落可能包含肉眼可见的大量无脊椎动物。[...] 粗糙的沉积物和岩石底部的裂缝会促进地表水进入地下水供应,特别是通过浅井。只有细粒土壤和被细粒层覆盖的粗深层才会容纳仅限于地下水和洞穴的无脊椎动物物种。
Evins (2004), 第106页:
各种观察和研究表明,水源类型,特别是其有机含量,与水管中动物种群的程度之间存在联系。来自深层地下水源的水通常支持的动物数量比来自地表水源的水少,可能是因为地下水的有机含量低。
虽然Evins (2004)讨论的是配水系统中的无脊椎动物,而不是最初从中取水的原始水源中的无脊椎动物,但"有机物质较少意味着无脊椎动物较少"这一原则在任何一种情况下都可能成立。另见van Lieverloo等人(2002)的这段话,第1724页:
在对德国17个成品水库的调查中,发现地表水供应的水库沉积物中除了一些底栖物种外,还有大量和种类繁多的浮游生物,而地下水供应的水库沉积物中只有少量轮虫和线虫。
van Lieverloo等人(2002)还列出了荷兰处理厂成品水中无脊椎动物的"基准值"(表1,第1730页)。从该表中,我看到宣布"处理厂成品水"中生物数量"非常高"的阈值通常对地下水比地表水低。例如,所谓的"样本 ≥"阈值(每1000升的数量)对轮虫来说,地表水是10,000,而地下水只有500。对于枝角类,比较是30对10,对于桡足类,比较是1000对50。van Lieverloo等人(2002)还写道(第1721页):
在荷兰,许多水务公司监测地表水处理厂成品水中的线虫等无脊椎动物(68)。对于地表水处理厂的成品水,每立方米超过1,000只被认为是非常高的。对于地下水处理厂,每立方米100只或更多是非常高的(45)。
成品水中无脊椎动物数量较多是否与原始进水中数量较多相关?如果是这样,那么地表水成品水的较高阈值表明,原始地表水通常比原始地下水含有更多无脊椎动物。
最后,这里有一个我很好奇的问题。当地表水渗入地下时,它会被地面的沙子和其他材料自然过滤(程度大小不一)a。这个过程是否会像人造砂滤器那样杀死浮游动物?或者地表水中的浮游动物能够游到沙子上方并留在地表水中?即使浮游动物被这种"自然"过滤过程杀死,我们可能会假设这种过滤无论如何都会发生,所以人类使用地下水不会增加相对于基线的浮游动物杀死。但这是真的吗?或者抽取地下水会导致更多地表水向下过滤以替代损失的水?我猜测,如果地下水直接与地球表面附近的地表水相连,那么抽取地下水确实可能会拉下更多地表水?相反,如果地下水在地下很深,地表水只能缓慢渗透到那个深度,那么抽取地下水不会导致更多地表水向下过滤?
一个水厂系统的例子:柏林
为了说明城市供水可能涉及的一些复杂性,我将讨论柏林从哪里获得水。
直接来说,柏林的水全部来自地下水:
- Grohmann和Petersohn (2000)b:"柏林的供水完全来自地下水。"
- BWB (2014)是柏林水务公司Berliner Wasserbetriebe的信息报告。该报告解释道(第5页):"我们从土壤中提取地下水,然后在水厂中进行曝气和过滤。柏林饮用水就此准备就绪。没有添加任何化学品。"报告还补充说(第12页):"地下水从650多口深30米至170米的井中泵入水厂,在那里进行进一步处理并储存在清水池中。"
- nuBerlin (2015):"从技术上讲,柏林的自来水是从地下取的——不是直接从施普雷河或任何众多湖泊中取水。[...] 地下水[...]由当地供水商泵出,然后在当地供水厂进行清洁和处理。"
这些地下水是如何补充的?BWB (2014),第10页:"饮用水从地下水中提取。这通过雨水和河流湖泊地表水的河岸过滤不断更新。[...] 雨水和地表水缓慢均匀地通过沙层和砾石层向下渗透到地下水中。"就杀死浮游动物而言,我猜测河岸过滤更类似于地下水取水而不是地表水取水,因为我假设河水以自己的速度通过土壤过滤,浮游动物可能留在河中而不被迫进入河岸的土壤??相比之下,在人造砂滤器中,浮游动物没有河流可以游走;它们要么被困在过滤器上,要么通过它?
那么,这是否意味着柏林的自来水杀死的浮游动物很少,因为它全部来自地下水?不幸的是,并非如此。原因是一些地表水经过处理/过滤后用于增加地下水供应。BWB (2014),第16页:
地下水并不总是自然形成足够的量。因此,为了提取所需数量,我们柏林水务公司用经处理的地表水补充地下水。[...]
地表水在用于过滤目的之前可以进行预处理。在两个地表水处理厂中,使用絮凝-沉淀-过滤原理减少了可过滤物质以及磷酸盐和硝酸盐。为此,向水中添加絮凝剂,然后进行过滤。Beelitzhof地表水处理厂净化万湖的水,然后将其排入格鲁内瓦尔德湖。
Grohmann和Petersohn (2000):"为了可持续的水管理,河水经过絮凝和过滤处理,用于人工地下水补给(施普雷河和哈维尔河)或河岸过滤(北沟和特格尔湖)。"
我想知道这种过滤是什么样的。是否是一个杀死大多数浮游动物的过滤过程?
柏林的地下水有多少是用经处理的地表水补充的,而不是由自然地表水补充的?BWB (2014)显示(第4页)柏林水系统的地图,标出了三个"地表水处理厂"位置(都在柏林西侧)。
所以柏林的水可能并没有完全避免杀死浮游动物,尽管我猜测柏林的用水杀死的浮游动物比许多其他城市少。
配水系统中的无脊椎动物
到目前为止,我主要关注源水(如湖泊和河流)中浮游动物的杀死。然而,小动物也可能在后来进入配水系统。Christensen (2011)对无脊椎动物可能进入水系统的入口点有一个很好的说明(第18页):

Evins (2004)同样解释道(第104页),小动物可能出现在配水系统中有几个可能的原因:
- 它们可能从源水进入,通过水处理厂或在处理厂中繁殖
- 它们可能通过配水系统中的入口点进入,"如筛选不良的服务水库"
- 它们可能在配水系统内繁殖。
Christensen (2011),第1页:"全球都有关于饮用水中无脊椎动物的报告,世界卫生组织(WHO)得出结论,世界上几乎没有任何饮用水系统是没有动物的。"Evins (2004),第102-103页:
20世纪60年代和70年代在英国研究了配水系统的动物种群;对约50个系统进行了采样,发现所有系统中都有动物[...]。20世纪90年代对荷兰36个处理厂供水的配水系统进行的系统调查也发现所有系统中都有动物[...]。
为简单起见,在这篇文章中,我主要关注源水中的动物。我推测,大多数被用水杀死的无脊椎动物是那些在源水中的,因为它可能有如此高的无脊椎动物种群?请注意,用水杀死的无脊椎动物总数与配水管道中或出现在自来水中的无脊椎动物总数不同,因为大多数源水中的无脊椎动物在水处理过程中被去除。此外,并非所有在配水系统中的无脊椎动物都因在那里而被杀死。Evins (2004Evins (2004), 第105页:
通过处理进入最多的物种不一定是在主管道中最常见的。对处理厂及其相关配水系统的调查(Evins & Greaves, 1979)表明,对于大多数物种来说,在主管道内繁殖的成功决定了种群的规模。因此,在配水系统中常见的物种不一定是最频繁出现在消费者水龙头中的物种(van Lieverloo, 1997)。这是因为在管道中繁盛的物种可能抵抗被输送水冲走和悬浮,而那些存在于进水中的物种可能直接通过到达消费者的水龙头。
话虽如此,人类可能会定期通过物理和/或化学方法有意杀死水管中的无脊椎动物(Evins 2004, 第6.4节)。
Evins (2004), 第117-118页:
在储存水中占主导地位的浮游生物相对容易通过处理去除,并且不会在配水系统中繁盛。在河水中占较大比例的底栖物种更有可能通过处理,反过来更有可能在配水系统中繁盛。
Bichai等人(2008), 第510页:
虽然大部分无脊椎动物在沉淀过程中被拦截和消除,但一些可以在[处理]厂内繁殖并释放卵和幼虫进入配水系统(Levy等人1986)。轮虫和线虫大量殖民颗粒和生物过滤器,这些过滤器构成了底栖无脊椎动物繁殖的理想介质(Lupi等人1994; Schreiber等人1997; Castaldelli等人2005)。它们经常被释放到过滤器出水(Matsumoto等人2002)和配水系统中。对几个饮用水配水系统进行的调查证实了无脊椎动物的丰度(Chang等人1960b; Van Lieverloo等人1998),而变形虫已知在生物膜中繁殖。
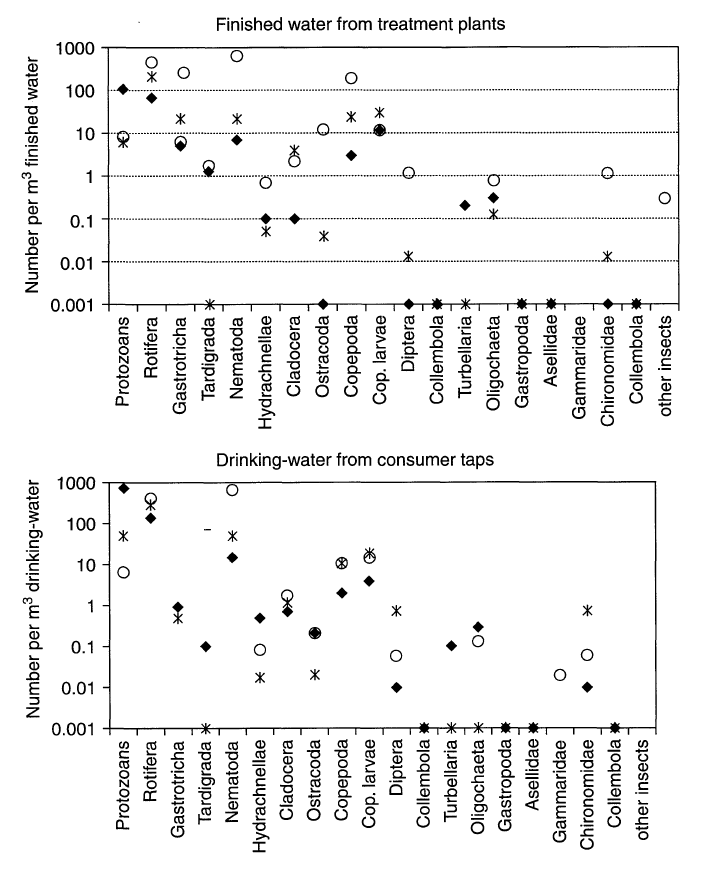
进入和离开配水系统的无脊椎动物密度是多少?van Lieverloo等人(2002), 第1728页(图6),给出了以下数字,其中圆圈、星号和菱形代表不同来源的估计:

由于1 m3 = 1000 L,所有这些密度都小于每升1个个体(在给定分类群内)。相比之下,正如下一节所解释的,地表水源中的浮游动物密度通常至少为每升1到100个。这再次证实了我的假设,即大多数无脊椎动物是在处理或过滤源水时被杀死的,而不是在水管内被杀死。
Christensen (2011)提出(第16页)以下表格:


在上表中给出浓度的地方,平均值通常小于~1000个/m3,或每升1个,尽管跨分类群加起来会得到一个稍大的数字。我没有检查这些浓度是静态占据管道/等某一部分的生物数量,还是随给定部分水流动的生物数量。c
地表水中的浮游动物密度
在这篇文章中,我选择关注甲壳类浮游动物(如桡足类和枝角类)。我没有计算轮虫,因为尽管它们是有神经系统的多细胞动物,它们可能比甲壳类浮游动物更简单,这使得它们的知觉性更值得怀疑。我也没有计算其他浮游或底栖无脊椎动物,这使我的计算保守。
这个页面回顾了一些河流中浮游动物密度的估计,这个页面对湖泊和水库做了同样的事。数字各不相同,但甲壳类浮游动物的密度通常在每升1到100之间。在这篇文章中,我将使用每升10个甲壳类浮游动物被杀死作为点估计。这可能是基于上述链接中讨论的密度的一个有些保守的估计,因为例如,即使一半地点的甲壳类浮游动物密度为每升1个,一半为每升100个,平均值也是每升50.5个,而不是每升10个。另一方面,我想保持估计较低,因为一些浮游动物密度数字是针对河流或湖泊顶部附近的水,我们可能预期浮游动物密度在水柱顶部比更深处高??d 话虽如此,上述链接中的一些研究(例如,Ahmed (2010)对水库和Orsi和Mecum (1986)对河流的研究)报告了整个水柱中的浮游动物密度(即使用垂直浮游生物拖网),这些数字仍然与平均甲壳类密度每升~10个的数量级一致。(当然,理论上可能垂直浮游生物样本可能有很高的平均浮游动物密度,即使所有浮游动物都在水柱顶部而不是在较低深度。)
这篇文章关于纽约市的水说:"水库系统中的浮游生物[拖网]每升捕获多达350个桡足类,平均值为每升50个桡足类。有趣的是,实际到达消费者水龙头的如此之少。"
这个页面报告:"环境保护局已确认,在纽约市的整个水域中存在大量桡足类。感染程度因地而异。在环境保护局进行的18个样本测试中,桡足类数量平均为每升9个生物。"仅从这个引用中我无法判断这个桡足类密度是在原始源水中还是在消费者的自来水中。而且请记住,这只是桡足类,不包括枝角类或其他甲壳类。
其他水生无脊椎动物
这本教科书报告说,浮游生物在河流中可能不如湖泊中常见:"真正的浮游生物只在河流的深水、缓流段或大坝后面常见。与[在]湖泊不同,底栖无脊椎动物,特别是昆虫幼虫,构成了无脊椎动物群的主体"。
除了杀死浮游动物外,抽取河水也可能杀死像昆虫幼虫这样的底栖动物吗?或者它们不太可能被吸走?也许一些会作为偶然浮游生物被捕获,即"通过对其底栖栖息地的干扰,或通过风和水流被带入浮游生物中的生物,如自由生活或附着的底栖生物和其他非浮游生物"?
这个页面报告:"根据DEP发言人Edward Timbers的说法,有时在纽约市饮用水中也发现了摇蚊幼虫。"
Evins (2004), 第105页:"许多种类的摇蚊幼虫可能以相当数量存在于配水系统中。幼虫通常在河流和水库中大量存在,并可能穿透处理厂。"
Bichai等人(2008)总结了(第519页)在水处理的不同阶段(原水、水处理过滤器和过滤后配水系统)中后生动物无脊椎动物和原生动物的密度:
例如,在源[水]中,在德国对未处理的水库水和用作供水源的河流进行的为期3年的调查中,发现每升有2到3000个变形虫,河水中有200到90000个变形虫(Hoffmann和Michel 2001)。在天然淡水中,每升200-300个轮虫很常见,偶尔可达每升1000个(Wetzel 2001)。就过滤器样品而言,在慢砂过滤床表面附近取的30克沙样中测得大量线虫(约570个线虫),以及其他类型的浮游动物,如变形虫、轮虫和桡足类(30克沙样中约140个变形虫,类似数量的轮虫,约60个桡足类)(Hijnen等人2007)。在颗粒过滤器的出水中报告了每升几千个无脊椎动物的浓度,主要是线虫或轮虫(Schreiber等人1997; Castaldelli等人2005),在饮用水净化厂的过滤水中测得高达每升400个变形虫(Hoffmann和Michel 2001)。至于配水系统,据认为大多数系统中原生动物的浓度在每升5 x 104到7 x 105之间(Sibille等人1998),而在消防栓取样中发现枝角类和桡足类的浓度在每立方米600到750个生物之间[即每升0.6到0.75个生物](Van Lieverloo等人1998)。
Chang等人(1960)报告了以下结果(第614页),其中"原水"是处理前,"成品水"是处理后:

季节性
地表水中的浮游动物密度根据位置、物理和生物参数、一年中的时间等因素而显著变化。例如,Pace等人(1992)的图3,显示在这个页面上,揭示了一年中各季节浮游动物丰度的巨大波动。"例如,B. longirostris种群在春季洪水期间从每升0.01到0.1个动物急剧增加到6月初的每升>100个动物。这种种群爆发的时间和规模每年都重复,尽管1989年观察到较低的最大密度"(Pace等人1992,第1063页)。
这篇文章报道:
"当湖泊被冰雪覆盖时,它并不会进入睡眠状态,"美国国家科学基金会环境生物学部门的项目主任Liz Blood说,该部门资助了这项研究。"虽然冬季较低的温度和光照水平可能会迫使湖泊生物进入较慢的模式,但藻类和浮游动物仍然丰富。"
史密森学会(1999):"冬季活跃的昆虫不多,但蜻蜓、蜉蝣和石蝇的若虫生活在池塘和溪流的水中,通常在冰下。它们整个冬天都在积极地进食和生长,以便在早春作为成虫出现。"
Mitcham等人 (1983)
Mitcham等人(1983),讨论英格兰兰福德的一个处理厂(第197-198页):
兰福德原水中占主导地位的浮游动物是甲壳类,特别是Bosmina和Cyclops。[...]
在6月到8月的生长期间,这些生物中的任何一种的种群可能达到每升20-50个,伴随着较少数量的Daphnia、摇蚊幼虫、Nais和线虫。在过滤之前杀死尽可能多的这些生物很重要。
出于这个原因,1979年11月和1981年4月至8月期间进行了比较游离氯和结合氯杀死甲壳类的能力的研究[...]。
从下表中,我们看到预氯化杀死了原水中存在的大多数甲壳类浮游动物。

下表按月份加总了所有三种甲壳类浮游动物的数量:
| 月份 | 原水中的甲壳类浮游动物 (数量/升) |
| 11月 | 1.1 |
| 4月 | 0.7 |
| 5月 | 2.9 |
| 6月 | 28.3 |
| 7月 | 10.1 |
| 8月 | 10.4 |
| 月份平均 | 8.9 |
我们还看到,这些浮游动物似乎在夏季比非夏季月份普遍更丰富,尽管我不知道这些趋势有多稳健或可推广。
浮游动物和用水量的协方差?
在这篇文章中,我为简单起见假设浮游动物密度全年恒定。然而,如果密度通常在夏季更高,而人们在夏季每天使用更多水(用于浇灌草坪、填充游泳池、灌溉农作物等),那么用水实际杀死的浮游动物数量应该高于(年平均浮游动物密度)*(年用水量),因为高于平均的浮游动物密度和高于平均的用水量同时发生。
作为一个过于简化的例子,想象浮游动物密度在冬季为每升0个,在夏季为每升20个,而灌溉用水在冬季为0升,在夏季为10升。(年平均浮游动物密度)*(年用水量)的乘积是(每升10个)*(10升) = 100个被杀死的浮游动物,但实际被杀死的浮游动物数量是(每升0个)*(0升) + (每升20个)*(10升) = 200个。
每人每天杀死多少浮游动物?
Maupin等人(2014)是美国地质调查局(USGS)题为"2010年美国水使用估计"的报告。这份报告(第18页)估计"2010年约有42,000 Mgal/d [...]的水被抽取用于公共供应",其中"公共供应指由公共和私人供水商抽取的水,这些供水商至少为25人提供水或至少有15个连接。"e 此外,"2010年估计有2.68亿人依赖公共供应水用于家庭用途。这个数字代表了美国总人口的约86%。"因此,人均公共供水水量大约是(每天42,000百万加仑) / (2.68亿人) = 每人每天160加仑。f (注:我假设所有"加仑"数字都是美制加仑,而不是英制加仑。)
Maupin等人(2014)补充道(第18页):
大部分公共供应抽水被输送给客户用于家庭、商业和工业需求。部分用于公共服务,如公共游泳池、公园、消防、水和废水处理以及市政建筑,还有一些因泄漏、冲洗、塔维护和其他系统损失而无法解释。家庭输送代表公共供应抽水的最大单一组成部分,全国平均占总量的57%。
因此,用于家庭目的的公共供应水大约占每人每天160 * 0.57 = 90加仑(不包括泄漏和其他系统损失,家庭用水部分要对此负责)。这个估计与这个来源相符,它说关于家庭用水"估计各不相同,但每个人每天使用约80-100加仑水。"
Maupin等人(2014)说(第18页):"2010年公共供应抽取的水63%来自地表水源,如湖泊和河流;其余37%来自地下水。"g 因此平均而言,使用公共供应的人每人每天的地表水使用量大约是160 * 0.63 = 100加仑。仅计算家庭用途的地表水:160 * 0.63 * 0.57 = 57加仑(假设一个合理的前提,即给定加仑的公共供应水是用于家庭还是非家庭目的与它是来自地表水还是地下水大致独立)。
57加仑 = ~220升水每天。如上所述,我假设每升地表水抽取杀死~10个甲壳类浮游动物。因此,人均公共供应地表水抽取用于家庭用途大约杀死~10 * ~220 = ~2000个甲壳类浮游动物每天。
基于这个来源,以下是各种用水杀死甲壳类浮游动物的估计,如果你所有的水都来自地表水源。
| 活动 | 使用的水量(升) | 大约杀死的甲壳类浮游动物 |
| 你每天喝的水 | 4 | 40 |
| 一次冲厕所 | 11 | 110 |
| 洗碗机 | 15到38 | 150到380 |
| 一次洗衣 | 57 | 570 |
| 10分钟淋浴 | 76 | 760 |
这个计算器让你估算自己的个人用水量。我的只有每天36加仑 = 136升,但那部分是因为我家有低流量水龙头,而且我不做任何昂贵的事情,比如浇灌草坪。(浇灌草坪是不好的,因为除了使用大量水,它还增加植物生长,从而增加陆生无脊椎动物的数量。)
这个页面说:"根据1999年的一项研究,平均而言,在整个美国,58%的家庭用水用于户外,如园艺、游泳池等,42%用于室内。"
填充游泳池需要22,000加仑水(可能杀死近百万个甲壳类浮游动物),"如果你不盖上它,每月可能会因蒸发损失数百加仑水。"游泳池还会困住并杀死很多虫子,可能还有青蛙。当我还是个孩子时,我几乎每天夏天都去朋友的游泳池。我猜测那个游泳池每天可能杀死~1到~100只昆虫,每几周杀死1只青蛙。(那个游泳池在靠近池塘的农村地区,所以也许动物死亡率比通常情况下高。)
纽约市的供水系统"每天为超过800万市民、另外100万上游四个县的用户以及该地区的游客提供超过12亿美加仑[...]的饮用水。"我将忽略游客,假设在任何给定时间访问纽约市的人数大致等于纽约人访问其他地方的人数。h 因此,假设约8 + 1 = 900万人得到服务,这意味着每人每天~130加仑,用于家庭、商业等用途。
Mitcham等人(1983),第196页:"EssexMitcham等人(1983),第196页:"Essex水务公司是英国最大的供水商之一,为超过130万人和相关工业提供服务,目前日均产出340 ML [...]。"这相当于人均用水量340/1.3 = 260 L = 69美加仑。
BWB (2014),第12页:"柏林每个居民平均每天使用110升[即29美加仑]水。"
寻找杀死较少浮游动物的供水
为了通过用水杀死更少的浮游动物,当你搬到一个新地方时,你可以寻找主要来自地下水,特别是深层地下水的供水地点。这通常适用于由水井供水的农村地区的家庭。它也可能适用于一些人口较多的地区,尽管我的印象是大多数大城市主要由地表水供应。
这个页面提到了美国几个"主要由地下水供应的城市"。但要获得全面列表,请参见美国环境保护署的数据库中的消费者信用报告信息。以下是该数据库聚焦加利福尼亚州并按服务人口降序排列的前几行截图。

如你所见,大型供水系统倾向于使用地表水。如果你按服务人口升序排序,你会看到很多地下水系统。
如果无脊椎动物进入并在配水系统中繁殖,使用地下水时可能仍会杀死一些无脊椎动物,正如我们在本文"配水系统中的无脊椎动物"一节中看到的。但我认为这种现象通常涉及的生物数量远少于从原始地表水中杀死的数量。
另一个考虑因素是,搬到使用地下水的地方会略微提高该地区的房价,这将平均而言,根据价格弹性,导致另一个人的一部分转而住在不同的地方,可能是使用地表水的地方。(这忽略了你搬到一个城市可能使其他人更有可能搬到那里,而不是更不可能,也许是因为你的朋友和家人想加入你。)
此外,增加地下水使用可能会加速该地区开始使用地表水的那一天,特别是在该地区的地下水使用不可持续的情况下。
其他用水
以下来自这个页面的图表显示了2005年美国的淡水使用情况,我认为这里的"家庭"指的是"自供家庭"(主要是井水i),而不是公共供水的家庭用水。

如你所见,灌溉和热电取水在体积上比公共供水取水更大。我不会在本文中讨论热电用水,尽管我希望在以后的文章中更多地写about it。大多数热电取水都会返回到它们来自的地方:
这个国家大多数热电厂使用所谓的一次冷却,这是一个从冷的河流、湖泊或沿海水中抽水来冷却转动发电厂涡轮机的蒸汽的过程,然后将加热的水释放回环境中。1995年估计,热电抽取的水中不到3%被消耗(因蒸发而损失)。
我目前不确定这个过程杀死和伤害了多少浮游动物。我从浏览一些研究得到的粗略印象是,冷却水中的卷入有时会杀死浮游动物,但并不总是如此。要阅读更多关于这个主题的内容,请搜索{zooplankton entrainment}。
相比之下,我假设灌溉水中的大多数浮游动物最终都会被杀死?下面讨论灌溉。
灌溉
浮游动物死亡?
这个页面说(第1页):"灌溉沟渠是人造的渠道,将水输送到家庭、农场、工业和其他人类用途。大多数沟渠从天然溪流和河流中引水,并将其带到其他地区。"
浮游动物可能在到达农田之前就死亡。例如,灌溉用水可能会被过滤。这个页面说该公司的"过滤器用于控制斑马贝和贻贝,通过阻止贝壳、成体、幼虫、幼体和卵通过过滤点。"
如果浮游动物存活到农田,我猜它们仍然会很快死亡,由于干燥、被吃掉等原因?(我找不到任何关于这方面的信息。)
也许浮游动物在漫灌系统中存活的时间最长,在这种系统中,大量水在田地上停留一段时间。然而,我的印象是即使是漫灌,田地也会相对快速干涸?
- 在"漫灌(堤灌)"一节中,这个页面说"建议不要让水在任何区域停留超过两天。"
- 这个页面说"由于漫灌,大量蚊子可能在积水中发育。"这表明漫灌的田地有时会连续多天保持积水。同一页面建议"通过改善排水渠道,将田地积水时间减少到不超过四天。"
- 我在Quora上问了这个问题。一个回答说:"漫灌专家必须提供一个目标停留时间,但我猜不超过一小时,可能更少。"
Stevens等人(1985)描述了萨克拉门托河附近的灌溉(第26页):"一般来说,水从河流或水库通过灌溉渠道引出,田地被淹没,施用农药,最终水被排入沟渠,随后流回河流。"我不确定作者是否特指水稻灌溉还是所有类型的灌溉。我也不确定一些浮游动物是否能从河流,通过农田,再回到河流的整个过程中存活下来。如果是这样,而且如果这种灌溉水的往返路径很常见(是吗?),那么我在本文中对灌溉导致浮游动物死亡的估计可能有点夸大。
如果浮游动物确实在灌溉水从河流到河流的往返流动中存活下来,我猜这主要只发生在漫灌的情况下??而在美国,只有少数灌溉是漫灌。Maupin等人(2014)说(第25页)关于美国:"约31,600千英亩(51%)用喷灌系统灌溉,26,200千英亩用地表(漫灌),4,610千英亩用微灌系统。"
杀死的浮游动物数量
美国地质调查局数据
Maupin等人(2014)说(第25页):"2010年,总灌溉取水量为115,000 Mgal/d[...]。从地表水源取水65,900 Mgal/d,占总灌溉取水量的57%"。j 2010年,美国人口为3.09亿,这意味着平均每人每天用于灌溉的地表水为(65,900百万加仑地表水每天) * (3.785升每加仑) / (3.09亿人) = 807升。假设每升地表水杀死~10个甲壳类浮游动物,地下水中没有浮游动物,这意味着通过对灌溉食品和纤维的需求,典型美国人每天杀死~8000个甲壳类浮游动物。
实际上,上述简单计算并不完全正确,因为存在进口和出口。美国人消费一些在其他国家种植的农产品,一些在美国种植的农产品被出口。
这个页面声称:"美国拥有世界约5%的人口,但它使用的水量几乎与印度(世界~1/5)或中国(世界1/5)一样多,因为大量水用于种植出口到世界其他地方的食物。"
这个页面解释道:
2011-13年,美国生产的坚果(主要是杏仁)和棉花超过70%的体积被出口,大米和小麦生产的50%以上也被出口。总的来说,2011年至2013年,美国农业生产的出口份额平均为20%,基于体积,与2000年以来的同期年平均份额相同。
另一方面:
美国消费的咖啡/可可/香料[...]超过95%是进口的,新鲜水果和果汁约一半是进口的,葡萄酒和糖约三分之一是进口的。
这个图表显示,美国的总进口和出口在美元方面相当接近。假设生产食品的地表水取水量平均大致与该产品的美元价值成正比,那么考虑到出口和进口在美元价值方面几乎相等,我们可能可以大致忽略农业贸易,至少对于粗略计算每个美国人杀死的浮游动物数量而言。
Mekonnen和Hoekstra (2010)
对于替代数字,我们可以参考Mekonnen和Hoekstra (2010)的表6(第29页),其中提到了各种食品的水足迹估计。对我们这里的目的而言,所谓的"蓝水"足迹最相关k,因为蓝水代表从湖泊、河流、地下水等取水,主要用于灌溉。这个页面报告说,平均美国人每天消耗2,031卡路里(不包括食物浪费)。基于Mekonnen和Hoekstra (2010)的表6,我构建了以下表格,显示消耗2,031卡路里 = 2,031千卡的每种给定食品的蓝水足迹。Mekonnen和Hoekstra (2010)的数字是全球平均水足迹(第28页),但假设它们大致适用于美国(是吗?),那么美国人平均每人每天因灌溉而产生的蓝水足迹应该在下表中的数字中间某处。
| 2,031千卡的这种食品... | ...有这个蓝水足迹(升) |
| 糖类作物 | 370 |
| 蔬菜 | 360 |
| 淀粉根类 | 39 |
| 水果 | 650 |
| 谷物 | 140 |
| 油料作物 | 150 |
| 豆类 | 84 |
| 坚果 | 1100 |
| 牛奶 | 310 |
| 鸡蛋 | 350 |
| 鸡肉 | 440 |
| 黄油 | 120 |
| 猪肉 | 340 |
| 羊/山羊肉 | 450 |
| 牛肉 | 740 |
由于根据前一小节Maupin等人(2014)的数字,美国用于灌溉的地表水只占所有灌溉用水的57%,这个表格中的数字实际上应该乘以0.57。这些数字的平均值会比根据Maupin等人(2014)计算的"每人每天用于灌溉的地表水807升"低一些。加上食物浪费和纤维产品(包括耗水的棉花)会有助于提高这里的总数。进口/出口和美国与全球水足迹的差异也可能解释与Maupin等人(2014)数字的一些差异。最后,我认为Mekonnen和Hoekstra (2010)的数字只计算了蓝水消耗(第9页),这不包括返回当地地下水/河流/等的那部分灌溉水?相比之下,Maupin等人(2014)的数字测量的是取水量,即消耗和非消耗的灌溉水。
植物生长增加
除了对水生无脊椎动物的影响外,灌溉似乎相当可能因另一个原因增加野生动物的痛苦:它可能增加陆地净初级生产力(在农田、草坪等),这创造了更多食物给异养生物,从而带来更多动物的存在。灌溉还有其他环境影响也很重要需要分析。然而,我的直觉是,通过增加植物生产力造成的伤害是最重要的考虑因素。
以下粗略计算比较了灌溉用水对水生无脊椎动物的痛苦与灌溉增加植物生产力对陆生无脊椎动物的痛苦。Maupin等人(2014)解释道(第25页),2010年在美国,129,000,000英亩英尺的灌溉水被应用于大约62,400,000英亩灌溉土地,这意味着"2010年的全国平均应用率为每英亩2.07英亩英尺",即灌溉作物平均每年在土壤表面获得2.07英尺 = 0.63米的水。在1平方米的农田上,那是0.63立方米 = 630升水。该报告还说"从地表水源取水[...]占总灌溉取水量的57%",所以大约630 * 0.57 = ~360升地表水用于每平方米灌溉农田。假设每升地表水有10个甲壳类浮游动物,那就是~3600个甲壳类浮游动物被杀死。
同时,一平方米的土壤可以含有数万到数十万个陆生无脊椎动物(如跳虫和螨虫),即使不计算线虫(见例如Curl和Truelove (1986)的图表这里)。更高的作物生产力可能会增加土壤无脊椎动物的种群,因为有更多的植物根系生物量和更多的地上植物生物量后来会分解。所以即使灌溉只增加作物产量一个较低的数量(比如说20%?我只是编造的),灌溉似乎可能通过增加植物生产力影响至少和通过杀死水生动物一样多的无脊椎动物(每平方米数千到数万个无脊椎动物年?对比每平方米数千个无脊椎动物?),尽管这两个因素都不是微不足道的。也值得记住:
- 被灌溉杀死的浮游动物后来会因其他原因死亡,所以杀死它们的坏处低于通过增加植物生产力带来陆生无脊椎动物存在的坏处,如果植物生产力较低,这些陆生无脊椎动物根本不会遭受痛苦和死亡。
- 当作物生长的一年中土壤无脊椎动物种群增加1个无脊椎动物时,当平均无脊椎动物寿命短于一年时,可能意味着创造了几个个体无脊椎动物。例如,创造1个额外的跳虫年可能意味着创造10个额外的跳虫,如果平均跳虫寿命是,比如说,1/10年。
有多少神经元?
大多数人同意,单个浮游动物的道德权重低于单个哺乳动物或鸟类。但低多少权重?一个粗略的道德权重代理是神经元数量。这个页面非常粗略地估计,一个甲壳类浮游动物可能有大约~103(?)个神经元。
假设美国典型人均公共供水用于家庭用途每天杀死~2000个甲壳类浮游动物,灌溉每天杀死~8000个,每人每年被杀死的甲壳类浮游动物总数大约是(每人每天2000 + 8000个甲壳类浮游动物) * (每年365天) = ~400万。假设每个甲壳类浮游动物~103个神经元,总共是~40亿个神经元。
相比之下,一只鸡有大约2.21亿个神经元,所以40亿个神经元大约相当于20只鸡的道德重要性。当然,我们对一只鸡造成的累积痛苦,相对于生物体可能的最大痛苦水平,可能比我们对单个浮游动物造成的更大,因为工厂化养殖的鸡除了痛苦的死亡外还有可怕的生活。此外,我们杀死的浮游动物后来会以其他方式死亡,而如果我们不买鸡肉,一些肉鸡根本就不会出生。
就我个人而言,我认为较小的动物应该得到比它们的神经元数量单独所表明的更多道德权重(Tomasik 2013)。例如,假设我们认为道德重要性随(神经元数量)3/4缩放。那么一只鸡的重要性是(2.21亿)3/4 / 10003/4 = 10,000倍于一个甲壳类浮游动物。典型美国人每年杀死400万个甲壳类浮游动物,根据神经元数量的3/4指数,这些浮游动物有~400只鸡的道德重要性。相比之下,典型的非素食美国人每年吃~23.7只鸡。也许这个计算给浮游动物的权重比我们愿意接受的要多。一般来说,给浮游动物比线性神经元计数更多的权重可能会导致它们在我们的计算中相对于脊椎动物占主导地位。
也请记住,我在这个计算中忽略了轮虫和其他非甲壳类动物。它们的神经元总数可能与甲壳类的数量相当。例如,轮虫有可能~200个神经元,但在河流和湖泊中可能比枝角类+桡足类加起来多几倍。
用水是否净坏?
杀死浮游动物直接是坏的,因为它给它们造成了巨大的痛苦,相对于它们可能拥有的任何程度的知觉。然而,有人可能会争辩说,这些浮游动物后来无论如何都会死亡,杀死它们可以防止它们生育更多未来的浮游动物。不幸的是,如果一组给定的浮游动物被杀死,那么它们本来会吃的食物将可供其他动物食用,所以不清楚杀死是否真的减少了长期的动物种群,它可能只是增加了长期发生的痛苦死亡总数。像这样的问题的全面分析是复杂和不明显的(Tomasik 2017)。然而,我认为怀疑以痛苦方式杀死动物至少有些坏是一个合理的启发式方法,因为这样做可能会增加最终发生的死亡总数。
对浮游植物生产力的影响?
抽取地表水是否真的保持了水生食物供应的规模不变?
抽水也会提取一些浮游植物和浮游动物。(哪些生物最终会吃这些被抽取的浮游植物?)我的直觉是这个考虑因素相当小,因为除了藻华的情况外,每升水中的浮游植物生物量往往相当低:
生物量金字塔可能是"倒置的"。例如,在池塘生态系统中,主要生产者浮游植物在任何给定时间点的现存量将低于异养生物(如鱼类和昆虫)的质量。
因此,水抽取破坏的浮游植物数量可能不是很大。
水抽取也可能以其他方式影响浮游植物。Stevens等人(1985),第23页:
条纹鲈工作组的Jerry Turner观察到,自1976年以来,西部[萨克拉门托-圣华金]三角洲只发生过两次值得注意的春季[浮游植物]爆发,两次都是在[加州水利工程]SWP分流泵因维修而关闭后立即发生的[...]。第一次事件发生在1981年5月,泵关闭后的第一批样本表明突然发生了显著的浮游植物爆发。第二次类似事件发生在1982年6月初,当时SWP泵再次因维修工作而关闭,随后发生了一次重大的浮游植物爆发。
这些结果表明,水利工程分流以某种尚未解释的方式对西部三角洲的浮游植物种群和基本生产力产生了重大影响。

鉴于这种影响"尚未解释",不清楚这个观察是偶然的还是真实的并可推广到其他水分流项目。Stevens等人(1985)还提到了基于减少有机废物输入水中的浮游植物减少的另一种可能解释(第24页)。此外,我不知道这些减少发生在多大体积的水中,因此有多少浮游植物受到影响。
用水替代陆地
在评估水抽取的净影响时,还有许多其他因素需要考虑。例如,如果你的用水促使未来决定在目前是陆地的地方建造水库,那么你的用水略微促进了长期将陆地生态系统转变为水生生态系统。(这个视频显示了水库建设的延时镜头。)目前还不清楚这是好是坏,但这一节提供了一些证据,表明湖泊生态系统可能比陆地生态系统每单位面积包含更多痛苦。如果是这样,那么导致创建更多水库的用水会比我们想象的更糟糕。话虽如此,我还没有深入探讨这个问题。
还有其他水库的环境影响和更广泛的用水影响需要在全面分析中考虑。
例子:格莱兹水库
这里是一个粗略计算,以了解用水的"用水替代陆地"效应的量级与"杀死抽取的浮游动物"效应的量级相比如何。Schnabel (2011)是一封描述拟建的格莱兹水库"安全产水量分析"的信,该水库将满足美国佐治亚州霍尔县预计增加的用水需求(第1页)。"查塔胡奇河和格莱兹水库组件,按配置,提供额外72.5百万加仑/天的安全产水量"(第2页)。Schnabel (2011)的图A-2显示了格莱兹水库根据填充高度将占用多少面积和体积。在1180英尺的高程,水库将覆盖850.0英亩,体积为117.14亿加仑。这些数字得到了这个页面的证实:"拟建的大坝将在正常水位1180英尺平均海平面(msl)时形成一个约850英亩的水库,提供117亿加仑的蓄水能力。[...] 拟建的格莱兹水库的安全产水量估计为每天平均72.5百万加仑(mgd)。"从117亿加仑的水库每天产水72.5百万加仑,相当于每天产水0.6%。
我在前面讨论Curl和Truelove (1986)的每平方米土壤中无脊椎动物数量时提到,陆地上的无脊椎动物(不计算线虫)数量为每平方米~104到~105。同时,我们还看到,淡水中的无脊椎动物通常每升有~10到~100个,即每立方米~104到~105个。假设这些密度只延伸到水柱的几米深,那么水中的总无脊椎动物种群可能会落在与陆地上相同的范围(每平方米~104到~105)。所以不清楚哪种环境容纳更多无脊椎动物,但这些数字给出了我们讨论的数量级的感觉。
创建格莱兹水库将把850.0英亩 = 3.440百万平方米的陆地转变为水。让我们假设这将改变无脊椎动物密度(上升或下降)大约每平方米104个。因此,整个水库将增加或减少无脊椎动物数量可能(~106平方米) * (~104每平方米) = ~1010。这是种群规模的变化,即每年存在的无脊椎动物年数的变化。如果我们假设典型的无脊椎动物(包括那些未能达到成熟的)生存时间,比如说,~1/10年,所以每年有~10个预期寿命,那么我们有~1010 * ~10 = ~1011个无脊椎动物生命和死亡每年被水库创造或阻止。
同时,水抽取杀死的浮游动物呢?假设安全产水量为每天72.5百万加仑 = 每年26.5十亿加仑 = 100.亿升每年。假设每升地表水杀死~10个甲壳类浮游动物,这相当于每年杀死~1012个甲壳类浮游动物。当然,这些动物无论如何都会死亡,所以杀死其中一个的坏处小于创造一个根本不会存在的新生命和死亡的坏处。如果我们假设杀死,比如说,10个浮游动物只增加总死亡数量,比如说,1(因为其余的死亡无论如何都会发生),那么直接杀死~1012个甲壳类浮游动物每年只会增加总死亡~1011,这与水库存在创造或阻止的浮游动物死亡数量是同一数量级。
这里的数字高度不确定,并且会因情况而异,但至少我们已经看到,不清楚手头的考虑因素中哪一个更重要。当然,将陆地转变为水库可能会增加无脊椎动物种群,所以即使这个考虑因素比杀死抽取的浮游动物更重要,它可能仍然建议减少用水。
其他考虑因素
另一个需要考虑的因素是,从河流取水可能会减少下游河流的体积。然而,除了你喝的水、用来浇植物的水或蒸发的水外,你在家中使用的自来水通常会在稍后作为废水处理后返回溪流。所以不清楚溪流中的净水量是否有太大变化。灌溉确实从溪流中取走了大量净水。
那么使用地下水呢?如上所述,抽取深层地下水可能不会杀死许多浮游动物,所以这种分析可能主要由其他考虑因素主导。在某些情况下,地下水有助于陆生植物的生长:"地下水通过渗透为土壤湿度提供养分,许多陆生植被群落每年至少有一部分时间直接依赖地下水或含水层上方渗透的土壤湿度。"因此,我们可能天真地赞成更多地使用地下水,特别是如果在从地下提取水后,它最终流入流向海洋的河流,使陆生植物无法使用这些水。用地下水饮用也可能减少农民可用的水量,这有减少灌溉的好处。另一方面,如果你住在有水井的农村地区,你可能也有化粪池系统,我猜这会将你使用的水返回到靠近抽取地点的地面,在这种情况下,对净地下水供应的影响可能很小,除非水向更深的地下水渗透很慢?l 地下水耗竭也可能导致对地表水使用的更大压力、从其他地方种植的耗水产品的更多进口,以及其他副作用。
总之,基于我目前考虑的论点,我怀疑家庭用水——在公共供应来自地表水的地区——在预期价值上有些负面,尽管这个分析存在巨大的不确定性。用水灌溉草坪或农田似乎更有可能是坏的。
海水淡化
这篇文章主要关注淡水中的浮游动物。非淡水有时也会被抽取用于各种目的,其中之一是海水淡化,尽管海水淡化在美国总供水中占比很低。虽然我没有深入研究这个问题,但海水淡化也可能杀死其中包含的浮游动物和其他小生物,这是合理的。
"海水中充满了生物,在海水淡化过程中,它们中的大多数都会丢失,"世界顶级海洋生物学家之一、国家地理学会驻地探险家Sylvia Earle说。"大多数是微生物,但海水淡化厂的进水管也会吸入海洋生物的幼虫,以及一些相当大的生物[:] 这是做生意的隐藏成本之一,"她说。
其他被卷入的动物
除了浮游动物外,其他小型水生动物也可能被水抽取杀死。Stevens等人(1985),第25页:
条纹鲈的卵、幼虫和幼鱼通过[萨克拉门托-圣华金]三角洲水的分流被[中央谷地工程]CVP、[加州水利工程]SWP、三角洲农业(DA)和太平洋天然气和电力公司(PGE)卷入而损失。鱼类损失取决于泵进口处生物的密度、抽水速率,以及(就PGE而言)冷却水排回三角洲之前通过发电厂时发生的死亡率。
我假设他们说死亡率只对PGE重要,因为对于非PGE水抽取,被卷入的生物不会被返回到源水(所以100%的生物都"损失"了)?
为了估计鱼类损失,一些调查人员使用了与我估计浮游动物死亡率相同的基本方法:即将这些生物在水中的密度乘以抽取/分流的水量。Stevens等人(1985),第25-26页:
基于在冷却系统内采样,已经估计了发电厂的条纹鲈损失。由于采样不足,无法对CVP、SWP或DA分流中的条纹鲈损失进行类似估计。然而,[各种人]已经对这些损失进行了间接估计。这些估计是通过将分流影响范围内三角洲渠道中的条纹鲈卵和幼虫密度估计值乘以被分流的水量得出的。
话虽如此,"除了PGE发电厂的估计外,这些各种卷入损失估计只是粗略近似"(第26页)。
考虑到条纹鲈吃其他动物,它们的卷入如何影响总动物痛苦并不明显,尽管卷入死亡对鱼类本身来说无疑是可怕的。
脚注
- 例如,nuBerlin (2015)说关于柏林的地下水:"通过渗入地下,水已经被不同层的沙子和土壤过滤了。"
Obermueller (2013)说柏林的自来水"实际上已经被双重过滤:首先,当它通过不同层次下降到自然地下蓄水层时;其次,当这些水被BWB[即水务公司]的九个水厂之一提取并在三步系统中净化时。" (返回)
- 注意:我无法访问这篇文章的全文,所以只引用了它的"摘要"。 (返回)
- 为什么这种区别很重要?这里有一个例子。想象我们有一个短管,其中包含1立方米的体积,里面有1000个无脊椎动物,每流过1立方米的水就有一个被水流带走。静态无脊椎动物浓度是每立方米1000个,而随水流动的无脊椎动物密度只有每立方米1个。
通过抽取地表水进行水处理而杀死的浮游动物数量是后一种数量——它是每单位流动水的无脊椎动物数量,而不是静态收集的无脊椎动物,大量水从其上流过。 (返回)
- 水处理厂通常从水体的表面、中部还是底部取水? (返回)
- Maupin等人(2014)的"词汇表"说(第50页)关于"公共供水用水":"公共供水商提供水用于各种用途,如家庭、商业、工业、热电和公共用水。"虽然我的印象是在许多情况下,热电用水不需要处理(?),但我假设来自公共供应的那部分热电用水确实经过处理(?),在这种情况下,那部分确实以与其他公共供水用途相同的方式杀死浮游动物,因此应该被计算在内。 (返回)
- 严格来说,一些不使用公共供水的人可能要对部分公共供水取水负责。例如,农村、非公共供水地区的人可能会购买使用公共供水的公司生产或在商店销售的产品。然而,为简单起见,我假设所有公共供水使用都是由获得公共供水自来水的人造成的。无论如何,这种区别并不太重要,因为国家中不获得公共供水的比例如此之低。 (返回)
- 作为比较:"在英格兰和威尔士,超过50%的饮用水来自地表水,即河流和水库。地表水可能含有小型植物(藻类)和动物,所有这些都存在于健康的水生环境中。"
van Lieverloo等人(2002)报告说"在荷兰,65%的饮用水来自地下水供应"(第1729页)。
关于德国的供水,这个页面说:
公共供水的来源如下:
- 65%来自地下水
- 9%来自泉水
- 5%来自河岸过滤,即来自靠近河流和湖泊的井,基本上抽取地表水
- 20%来自地表水[.]
- 因为纽约市是旅游目的地,可能在任何给定时间访问的人比离开的纽约人多。 (返回)
- 这个USGS页面说:"在其他家庭,主要是在更农村的地区,人们从诸如井、蓄水池、池塘或溪流等来源为自己提供水。这些用户主要使用地下水井,几乎98%的水来自井。" (返回)
- 作为全球背景,Muir (2012)说:"全球农业用水中约62%来自地表水源(如河流),而约38%来自地下水(地下含水层)。" (返回)
- "绿水"(即植物使用的雨水)不含浮游动物。用于稀释污染物的"灰水"可能涉及一些浮游动物因水中毒素而死亡,但这个问题超出了本文的范围。 (返回)
- Muir (2012):"当你刷牙时,如果你住在科瓦利斯[俄勒冈州]这样的城镇,你并没有'消耗'水——水通过下水系统回到河流——或者在化粪池系统的情况下渗透回地下水。" (返回)