捕鱼造成的营养级联效应

作者:Brian Tomasik

首次撰写:2015年12月23日。最后重大更新:2015年12月23日。

摘要

人类捕鱼对生态系统的影响之一是改变食物网中猎物动物的分布。一些证据表明,捕捞大型掠食性鱼类可能会增加小型饵料鱼的数量,并减少浮游动物的数量。同时,直接捕捞饵料鱼(作为沙丁鱼/凤尾鱼食用或用于喂养养殖鱼类、猪和鸡)应该会减少饵料鱼的数量并增加浮游动物的数量。另一方面,也可能是捕捞更多的鱼类会减少海洋中的鱼类总生物量,而不会显著增加小型鱼类的数量。还有许多其他可能观察到的趋势,很难进行概括。

目录

引言

本文讨论了人类捕鱼如何改变鱼类种群和生物量的分布。

如果我们认为鱼的意识与其质量成线性关系,那么鱼类种群的总生物量可以合理地近似其所包含的总痛苦量,忽略了较小的鱼可能由于婴儿死亡率较高和个体寿命较短而每年遭受更多痛苦的事实。关于按营养级别(TL)更详细地研究痛苦,请参见"哪个海洋营养级别包含最多的总痛苦?"。

营养级联

评估捕鱼对野生动物痛苦的整体影响如此困难的原因之一是,人们捕捞的大多数鱼都是捕食者。海洋生态系统有多层捕食关系。例如,沿食物链向上的一个潜在路径如下,其中"<‑‑"表示"被...吃掉":

阳光 + 营养物质 <‑‑ 浮游植物 <‑‑ 浮游动物 <‑‑ 鲱鱼 <‑‑ 金枪鱼 <‑‑ 鲨鱼

遵循"敌人的敌人就是朋友"的逻辑,营养级联的概念认为"我的捕食者的捕食者就是我的朋友"。

在鱼类食物链中有许多例子展示了这种趋势。例如,北大西洋鲨鱼数量的减少导致牛鼻鳐数量增加,进而吃掉了更多的扇贝。

营养级模拟

这篇论文的第28-29页展示了捕鱼影响的模拟结果。以下是一个"自下而上的生态系统",其中生物量分布仅基于向上营养级的能量转移。请注意,TL 1 对应初级生产和微生物生物量循环,而TL 2对应食草动物和食腐动物。




捕鱼对顶级捕食者的影响最大,因为它们直接被捕捞,并面临较低的猎物种群。

这里是一个"自上而下的生态系统",模型指定随着捕食者增加,猎物丰度减少:




在这里,猎物摆脱了捕食压力,因此随着捕鱼增加,其数量可能实际上会增加。

最后,以下两个图表显示了一个自上而下的生态系统,取决于捕捞的营养级别。如果只捕捞顶级捕食鱼类,效果可能是如下图所示的营养级联(顶级捕食者数量低,中等捕食者数量高,底层鱼类数量低)。相反,如果捕捞所有营养级别的鱼类,则分布如下图所示,其中在中/低营养级别的捕捞大致平衡了中等捕食者释放的效果。



几内亚大陆架生态系统

Gascuel 等人,2011年

这篇论文包含以下图表,显示了根据两种不同模型(CTSA和Ecopath)捕鱼对几内亚大陆架生态系统的影响:




CTSA似乎只显示生物量的减少,而Ecopath显示了一些增加,特别是在低营养级别。请注意,由于y轴是对数刻度,Ecopath曲线在低营养级别上看似小的生物量增加实际上相当显著。为了更好地可视化这一事实,我创建了上图的非对数刻度版本(仅针对Ecopath模型),通过目测对数图中的近似值。我对对数图的读数并不完美,但至少捕捉到了主要观点。



两条曲线下的面积大致相当,这表明在Ecopath模型下,捕鱼并不会减少总生物量。

Gasche和Gascuel,2013年

这篇论文也使用EcoTroph模型研究了几内亚生态系统。它发现

目前总动物生物量(TL ≥ 2)约为146.4吨/平方公里,而在没有任何捕鱼的情况下估计为149.8吨/平方公里。因此,它几乎不受捕鱼的影响,因为它主要由未开发的低TL物种组成,如浮游动物或底栖生物。[...]

目前可供渔业利用的生物量等于11.3吨/平方公里,在未开发状态下估计为18.7吨/平方公里[...]。

这个生态系统似乎并未在全球范围内被过度开发,但可供渔业利用的部分无疑已在生物量和TL方面被捕鱼严重改变。

作者发现,与小规模手工渔民相比,工业捕鱼(主要来自外国船队)捕捞了更高营养级别的鱼类,而小规模手工渔民也捕捞较低营养级别的鱼类。

本格拉生态系统

这篇论文模拟了南本格拉生态系统中增加捕鱼努力的两种情景:

(i) 将三种小型浮游鱼类(鳀鱼、沙丁鱼和红眼鱼,TL分别为3.54、2.99和3.64)的捕捞死亡率翻倍,以及(ii) 将生态系统中两组鳕鱼(深水角鳕TL = 4.50,角鳕TL = 4.64)的捕捞死亡率翻倍。这些情景旨在更好地理解关键的生态系统动态,考虑到生态系统的当前状态,它们并不对应于现实的管理选择。

对生物量的影响如下所示,其中前两个图表代表情景(i),分别不合并和合并营养级别,第三个图表显示情景(ii)。"模拟B"表示增加目标物种捕捞后预测的生物量,"初始B"表示基线生物量。Ecosim、Osmose和EcoTroph是三种正在比较的不同建模工具。




结果显示了营养级联效应,并表明捕鱼对总鱼类生物量的净影响并不明显。

该论文还指出

我们模型的一个普遍结果是,低TL物种是关键物种,因为它们通过捕食者-猎物关系极大地影响其生态系统。这些结果似乎与Cury等人(2000年)和Shannon等人(2009年)先前研究的结果一致,并提出了开发低TL物种最重要的问题之一[或者,如果你倾向于减少生物量以减少痛苦,那就是重要的解决方案!]:它可能提供高捕获量,但会影响整个食物链,即使不直接针对捕食者,也会减少捕食者的生物量。

实证发现

上述模拟提供了鱼类生态系统可能如何响应捕鱼压力的一系列可能动态。但哪一个最准确?答案可能因情况而异,但以下是一些真实世界发现的例子。

中波罗的海营养级联

一项研究发现,过度捕捞与其他环境变化相结合,减少了鳕鱼种群,这增加了其猎物鲱鱼的种群,进而减少了其猎物桡足类(Pseudocalanus acuspes)的种群:



沙丁鱼和其他小型鱼类的增加

另一项研究发现了一个可以表示如下的趋势:

营养级别 由于过度捕捞导致的种群变化 该营养级别痛苦的变化
大型鱼类 减少
小型鱼类 增加
浮游动物 减少
浮游植物和细菌分解者 增加

对这个表格的简单解读是,如果你最关心浮游动物,那么过度捕捞顶级捕食者是好的,而如果你最关心鱼类,那么过度捕捞顶级捕食者是坏的。当然,捕捞较小的鱼类会倾向于产生相反的效果(减少小型鱼类种群并增加浮游动物种群),如果你认为这些效果是坏的,你会想要避免食用小型鱼类(凤尾鱼、沙丁鱼等),也要避免大型养殖鱼类,因为它们被喂食了多倍于自身重量的野生捕获小型鱼类。

此外,如果这个表格中显示的效果足够强,富营养化可能会减少高级生物的种群,这对许多高营养级别来说可能是好事(尽管它也可能增加水母和其他较小生物的数量,这可能是坏事)。

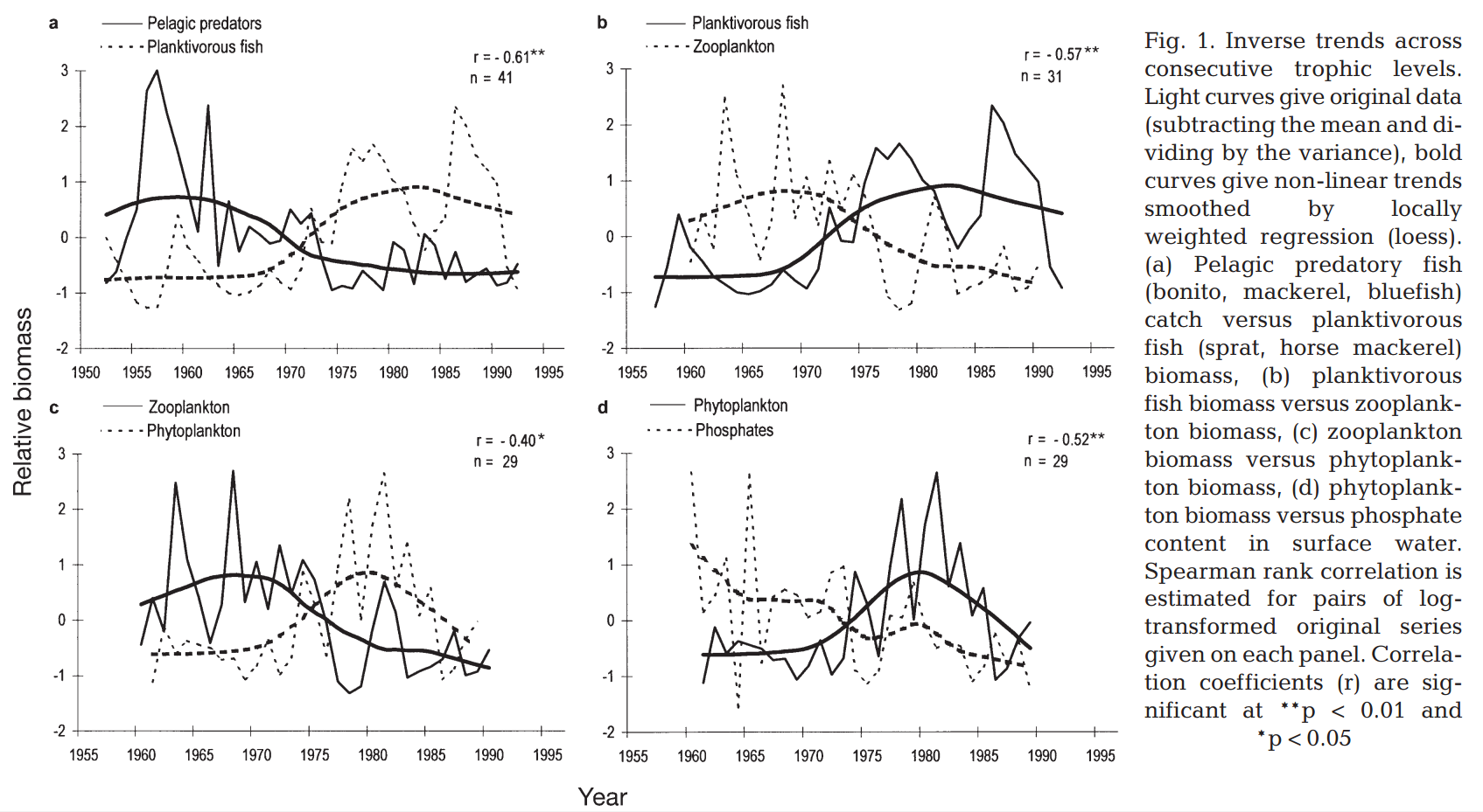
黑海营养级联

这篇论文记录了从食鱼性捕食鱼类到磷酸盐营养物的营养级联。这部分是由过度捕捞顶级海洋捕食者造成的。

其他发现

在Pohjalampi湖,较小鱼类种群的下降增加了猎物无脊椎动物的种群。

Daniel Pauly报告说,"从海洋生态系统中移除顶级捕食者的影响会级联下来,导致水母和其他胶质浮游动物的增加"。

复杂性

由捕食导致的较低种群数量是好是坏?

种群规模本身是否足以作为痛苦量的代理指标?也许如果猎物有更多捕食者从而种群较小,它们也会变得更加r选择,因此寿命更短,总后代更多?或者这种效应可能需要很长时间才能发生,在这种情况下,考虑到地球上的动物生命可能在几个世纪后就不复存在(如果地球上占主导地位的生命形式变成数字化),基本上可以忽略不计。

在一个被杀死的动物立即被另一个动物替代的情景中,在老年之前杀死一个动物会增加单位时间内的死亡数量,这是不好的。但在渔业的情况下,被捕获的鱼并不会立即或很快被替代,所以这个担忧可能不太相关。事实上,如果捕鱼的影响持续一致地应用,那么由于捕鱼而观察到的营养分布变化将代表新的稳定种群水平——在这种情况下,一些被渔民过早杀死的鱼永远不会被替代。

食草和杂食

食草鱼类可能通常是好的,因为它们消耗的食物原本会被更多的浮游动物吃掉。如果是这样,那么捕捞食草鱼类是不好的,捕捞它们的捕食者可能是好的,捕捞那些捕食者的捕食者可能是不好的,依此类推。

似乎许多小型鱼类是杂食性的,这使得分析更加复杂。