摘要
牲畜放牧占据了地球26%的无冰陆地面积,使其成为人类对野生动物痛苦影响最大的因素之一。一些研究表明,放牧减少了牧场上的野生昆虫种群(因此,可能减少了野生昆虫的痛苦),但也有一些研究指向相反的方向。牛粪支持大量昆虫,这给整体分析增加了不确定性。有机牛场的田地通常比传统牛场的昆虫密度更高。
牛只放牧是否会增加或减少特定土地上的总无脊椎动物种群,部分取决于牧场是否灌溉。例如,将美国西部原本干旱的土地转变为绿色牧场可能会增加总无脊椎动物种群。
注意:本文是关于牛只放牧对野生动物影响的系列文章之一,并非所有相关考虑因素都在此讨论。
目录
术语说明
在本文和一般情况下,我以性别中性的方式使用"cow"作为"cattle"的单数形式。
此外,当我说"insect"时,通常指"任何陆生无脊椎动物"。
当我最初写这篇文章时,我倾向于使用更熟悉但技术上不太正确的词,比如用"cow"表示"任何性别的家养牛",用"insect"表示"无脊椎动物"。在后来对这篇文章的补充中,我转向使用更恰当的术语。
引言
在"最小伤害:对Steven Davis全食主义提议的素食主义辩护"中,Gaverick Matheny认为(第509页)反对牛只放牧的一个论点是"通过使用以前或其他可供野生动物使用的土地和资源,放牧牛只阻止了一些较小的野生动物的存在。" 这个页面呼应道:
草为数百种沙漠动物提供食物、庇护,甚至建筑材料,从大耳兔到微小昆虫,每一种又被其他动物吃掉。派遣一群牛来啃食这些草,我们就把这种生态生产力转向了我们自己的目的,剥夺了当地野生动物的食物和栖息地。
然而,如果我们认为野生动物整体上遭受的痛苦多于幸福,考虑到
高幼虫死亡率和短寿命导致痛苦死亡,那么这个论点就反过来支持牛只放牧。
然而,仍然存在一个重要的实证问题:牛只放牧是否真的减少了野生动物种群?先验地这并不明显。例如,有人可能认为牛粪比草更适合昆虫食用。另一方面,如果昆虫直接吃草地植被,它们会从中获得比从粪便中获得更多的总能量,因为牛的呼吸会浪费大量能量。而且牛的大部分肉不是被牧场上的分解者吃掉,而是被人类或其他脊椎动物吃掉,这可能会进一步减少昆虫可用的食物。
植物食物可以被昆虫或牛吃掉这一事实在一份关于美国西南部草原的报告中得到了强调:
Hewitt(1977年)和Hewitt等人(1976年)指出,蝗虫与牛竞争饲料,两种食草动物对草种的偏好相似。在美国西部牧场上,蝗虫食草对生物量消耗的估计一直难以计算,但通常范围从可用饲料的6%到12%,在某些地区高达50%(Loftin等人2000年)。在亚利桑那州圣卡洛斯印第安保留地的草原上,Nerney(1961年)发现蝗虫消耗量占植被的8%到63%。然而,Hewitt(1977年)也报告了一项来自亚利桑那州东南部的研究,显示蝗虫密度与饲料损失之间没有相关性。
对温带气候昆虫种群的影响
发现放牧减少昆虫数量的研究
Cole, 1946
这项研究比较了林地放牧和未放牧部分的无脊椎动物。"这些林地多年来一直被牛放牧,除了一小部分自1935年以来一直被围栏保护不受放牧影响外,大部分地区都没有灌木丛和次生林"(第52页)。研究报告了以下表格:

研究解释道(第67、84页):
从表7可以明显看出,大多数形态在林地未放牧部分最为丰富。[...]
除了D区(位于放牧部分但土壤移植自未放牧区域)外,未放牧部分的林地有机质含量和土壤持水能力最高。[...]
很少有形态在林地放牧部分最为丰富。大型步甲科昆虫的差异意义不大,但蟑螂、蟋蟀和未识别的沙蜂科黄蜂在放牧地上明显更为丰富。[...]
大多数隐生物种在最长时间受到牛只放牧保护的林地部分达到最高丰度,一些证据表明这主要与相对湿润的土壤有关。少数动物,特别是直翅目昆虫,在较干燥的放牧林地部分更为丰富。
Fielding和Brusven, 1995
这篇论文发现
未放牧地点的平均蝗虫密度高于放牧地点。[...]
结果表明,在干旱条件下,牲畜放牧倾向于减少爱达荷州南部牧场的蝗虫种群。

Rambo和Faeth, 1999
这项研究发现以下结果:

虽然差异在统计上并不显著,但非放牧土地上昆虫丰度明显更高的趋势似乎很明确。
Kruess和Tscharntke, 2002
这项研究也发现放牧减少了昆虫数量:

作者指出(第300页):
四倍的牛密度似乎通过破坏植食性昆虫连续取食来影响植物-昆虫关系。可以推测,数量较少的昆虫在高度受干扰的环境中应该最难在局部持续存在。此外,小规模的重新定植可能受到不同昆虫分散能力的限制(Cornell和Lawton,1992;Hanski和Gyllenberg,1997)。
Pöyry等人, 2004
这项研究指出:
在草地昆虫研究中,对放牧效应的反应报告存在很大差异。这些差异可能与昆虫群体和物种之间的生活史差异有关(Curry 1994)。[...] 在大多数草地的实证研究中,观察到放牧对昆虫种群造成负面影响,导致群落结构发生改变,通常是贫乏化(Morris 2000, Swengel 2001)。然而,也有报告显示对增加放牧强度的正面(Smith 1940, Holmes等人1979)或单峰(Smith 1940, Hutchinson和King 1980)反应。
该研究本身发现个体数量的以下趋势(第1656-57和1661页,表1):
| "老的持续放牧牧场" | "恢复的牧场 重新开始放牧约5年" |
"废弃的前牧场","放牧停止超过10年" |
| 126.2 ± 57.9 | 126.0 ± 73.8 | 306.3 ± 141.8 |
因此,未放牧土地上的昆虫数量似乎至少是放牧土地的两倍。
作者写道(第1662和1666-68页):
最简单的群落测量,即物种丰富度和丰度(个体数量),在废弃牧场中最高。这一结果对所有物种和草地物种都是相似的。成对之间的事后比较表明,主要差异出现在放牧和废弃牧场之间,而两种放牧类型之间没有差异。[...]
废弃的半自然牧场被发现拥有最高的蝴蝶和蛾类物种丰富度和丰度。放牧历史被包含在我们所有的广义线性模型中,作为解释研究地点之间物种丰富度和丰度模式变化的最强变量。这些结果与最近两篇关于管理对草地昆虫群落结构影响的综述(Morris 2000, Swengel 2001)的结论相似。[...] 牧场中昆虫多样性的降低通常归因于放牧动物造成的直接和间接干扰,导致植被结构多样性和无脊椎动物可用生态位数量的减少(Morris 2000)。放牧还可能破坏营养级之间的食物链(Tscharntke 1997)。在我们的情况下,观察到的牧场物种丰富度和丰度下降的可能解释是,许多丰富的物种主要局限于废弃牧场,它们在开始放牧后迅速减少(J. Pöyry, S. Lindgren, J. Salminen, 和 M. Kuussaari,未发表的手稿)。[...]
在无脊椎动物中,报告的在中等放牧强度下达到最高多样性或丰度的案例要少得多(Fuentes和Jaksic 1988)。尽管如此,尽管比较不同放牧强度影响的研究很少,但已经有一些分类群报告了这种情况(Smith 1940, Hutchinson和King 1980, Roberts和Morton 1985, Bestelmeyer和Wiens 1996)。通常,随着放牧强度的降低或距上次放牧事件的时间间隔的增加,草地中昆虫物种丰富度和丰度的增加已被观察到(例如,Kruess和Tscharntke 2002a, b)。[...]
我们在废弃牧场中发现最高的物种丰富度和丰度的结果,明显挑战了通过密集管理提高物种丰富度的目标。
该论文呈现了以下图表(第1667页):

虽然作者说这显示了"单峰关系,其中2000年的最高丰度出现在约40厘米的中等植被高度",但你可以看到所有最高丰度都出现在废弃(非放牧)牧场。
Debano, 2006
这项研究报告:
发现与植被相关的昆虫群落对牲畜放牧敏感。这些昆虫在放牧草地上的总体丰度较低,某些昆虫目似乎受到牲畜放牧的负面影响;在放牧地点,甲虫的丰富度较低,双翅目的多样性较低,膜翅目的丰富度和多样性较低。相反,半翅目在放牧地点的多样性较高。[...] 与在美国其他落在野牛历史分布范围内的地区进行的其他研究相比,这项研究表明,该范围之外地区的无脊椎动物可能对放牧压力更敏感。
Gudleifsson和Bjarnadottir, 2008中引用的研究
这篇文章章回顾了一些关于放牧对跳虫(Collembola)影响的研究,跳虫是一些最常见的土壤动物:
草地的管理,包括施肥、放牧和割草,对草皮结构造成重大干扰,因此也影响到生活在那里的微节肢动物。[...] 在一项使用Berlese Tullgren漏斗收集的土壤微节肢动物研究中,Siepel和van de Bund(1988)发现氮肥对螨类和跳虫种群的物种组成有重大影响,而割草和放牧只有轻微影响。另一方面,Petersen等人(2004)发现放牧显著降低了跳虫的总丰度。[...]
Sigurðardóttir(1991)确定,使用草种和肥料进行土地复垦并防止放牧增加了跳虫的数量,特别是等节跳虫科。
发现放牧增加昆虫数量的研究
Zhu等人, 2012
这项研究令人惊讶地发现放牧增加了昆虫丰度,尽管牛放牧的增加幅度较小:

注意"control"意味着"无放牧"。作者解释道:
放牧地的昆虫丰度高于未放牧地,可能是由于有更多可用的产卵场所(Fisher 1994),更多的新生长吸引昆虫(Gao 等人 2008),以及微气候变化有利于昆虫孵化(Loftin 等人 2000)。
该研究还有助于总结了这个主题的一些其他文献:
大型食草动物可能会抑制食叶昆虫,因为它们竞争相同的植物(Bailey & Whitham 2003)。同样,脊椎动物食草动物减少了毛虫和蝗虫的数量(Huntzinger, Karban & Cushman 2008)以及甲虫的数量(Dennis 等人 2008),这是由于食物供应有限和放牧引起的植物防御结构。相反,大型食草动物的放牧也可能促进昆虫多样性(Cagnolo, Molina & Valladares 2002)。例如,已经证明野牛放牧通过增加植物物种丰富度导致蝗虫多样性更高(Joern 2005)。
(请记住,就昆虫痛苦而言,丰度而非多样性才是重要的。)
Kahn, 2018中的推测
Kahn(2018)讨论的是野牛而不是牛。文章包括这个推测性的评论:
有野牛的植物群落正变得更加多样化,因为这些动物充当天然割草机,为非草本植物和花卉的生长开辟了空间。在奇怪的方面,Jones发现野牛经常出没的地区的小动物体重更重。原因尚不完全清楚,尽管她假设"也许是因为野牛是笨拙的营养提供者,尿液可能会增加无脊椎动物,供老鼠大快朵颐。"毕竟,我们知道动物喜欢尿液。
Santangeli等人(2019)中的讨论
牧场上动物及其粪便的存在以及使用粪肥已被证明可以提高空中和土壤无脊椎动物的丰度,这些无脊椎动物是大多数与农田相关的鸟类物种的关键食物来源,特别是在繁殖期。这种丰富的食物可用性可能在很大程度上解释了我们的结果,即有机动物农场对食虫物种和农场物种的影响最为积极。
在原文中,这些句子包含了几个引用,查看这些引用会很有用。我还没有读过Santangeli等人(2019)或其引用的大部分论文,但在此之前,我有一些问题。放牧和动物粪便是否相对于未受干扰的草地增加了无脊椎动物的丰度?或者这种比较是相对于土地的其他密集使用,如种植作物?此外,他们是否计算了所有无脊椎动物,还是只计算了对鸟类最容易获取的大型、地上无脊椎动物?也许放牧动物的粪便增加了粪便中大型无脊椎动物的数量,但减少了例如土壤螨和线虫的数量,因为放牧的农场动物吃掉了一些原本会在土壤中分解的植被?
发现结果不一的研究
Wolcott, 1937
这项研究检查了三种类型的草地上的无脊椎动物数量:用于生产干草的草地(无放牧),植被丰富的轻度放牧牧场,以及植被稀少的重度放牧牧场。a 研究发现(第59页):
在纽约州巴尼维尔德的一百平方英尺草地中共收集到6,843只无脊椎动物,平均每平方英尺草地63.23只,每平方英尺植被稀少的牧场66.74只,每平方英尺植被丰富的牧场86.74只。
这不是一个理想的比较,因为草地被割草用于干草而不是闲置。减少对牛肉的需求会导致更多草地恢复闲置状态,而不是被割草用于干草。
有帮助的是,该研究还证实了一个基本观点,即随着牛吃掉更多植被,留给无脊椎动物的就越少(第81页):
在植被丰富的牧场中,消耗牛可能吃掉的饲料的最重要昆虫不是那些专门以草或三叶草为食的昆虫,而是那些杂食各种植被的昆虫:蝗虫、蟋蟀、白蛴螬和大蚊幼虫。假设它们吃杂草的量不多于吃草和三叶草的量,它们证明是这个牧场中昆虫消耗草和三叶草量约为牛的两倍的主要因素。
在植被稀少的牧场中,牛吃掉的草和三叶草比昆虫多得多,相对来说是因为昆虫较少,绝对来说是因为它们在那里的时间足够长,数量足够多,可以吃掉大部分剩余植被。这使植被保持短小,因此这个牧场对蟋蟀、蝗虫和叶蝉来说是一个不太有吸引力的环境,同时也更吸引知更鸟,它们在那里更多地觅食,从而进一步减少了不仅步甲和隐翅虫的数量,还减少了所有大型昆虫的数量。[...]
如果草和其他植被不被牛和植食性昆虫吃掉,它最终会成为植物清道夫如蜗牛、蛞蝓、鼠妇和千足虫的食物。在植被稀少的牧场中发现的这类动物数量很少,如果减去粪便中出现的数量,就更少了,这表明这些植物作为活体组织被消耗得多么彻底,而另一个牧场中存在的大量此类动物表明有多少剩余植被是牛和昆虫无法利用的。草地中存在最多的腐烂植被,那里的昆虫较少,单次割草远不足以弥补牛的缺席。
该研究还解释道(第3页):
发现在牧场中牛较少的地方,昆虫吃掉的草和三叶草比牛多。只有当牛把牧场保持得如此短小以至于对蟋蟀、蝗虫和叶蝉提供很少保护,并且更吸引知更鸟在那里大量觅食并进一步减少昆虫数量时,牛才能成功获得更大份额的牧草。在检查的牧场中,草和三叶草只构成总植被的三分之一,其他三分之二是牛拒绝吃的杂草。但是以杂草为食的昆虫数量只有以草和三叶草为食的昆虫的三分之一,而且大多数体型很小。草地的果园草和红三叶草相对较少有昆虫寄生,这些昆虫加上单次割草只移除了很小一部分产生的植物组织。因此,植物清道夫:千足虫、鼠妇、蜗牛和蛞蝓,在那里最为繁盛。
Capinera和Sechrist, 1982
这项研究报告:
蝗虫总数在生物量高的牧场(未放牧或轻度放牧)显著更高,而斜纹蝗亚科的蝗虫数量在生物量低的牧场(中度或重度放牧)显著更高。植食性亚科锥头蝗亚科和斜纹蝗亚科的蝗虫数量与草和草本植物生物量呈正相关,而地栖性斜纹蝗亚科的数量与所有生物量组分呈负相关。似乎可以通过调节牛的放牧强度来改变蝗虫的丰度,但丰度的变化也会伴随着蝗虫物种复合体的变化。
WallisDeVries和Raemakers, 2001
这项研究检查了非常低强度的放牧:
与割草区相比,放牧区和未放牧区的蝴蝶丰度变化是积极的。[...] 没有观察到放牧的明显负面影响,但物种出现并不总是与放牧相关的环境特征呈正相关。从长远来看,甚至更低的放牧密度可能对整个蝴蝶群落更有益。
关于土壤昆虫的警告
据我浏览和有时全面阅读上述研究,许多上述研究主要关注地上昆虫。但草地植物也支持地下虫群。放牧会增加地下虫群吗?
如果放牧由于牛造成的机械干扰而减少地上虫群,那么忽略牛自己吃掉的植被,可能会有更多剩余的植被不被地上虫吃掉,而是被土壤分解者吃掉,包括蚯蚓、跳虫等。牛放牧如何影响牛和分解者可食用的总植被量是一个复杂的问题,在这里有更多讨论。
对热带雨林昆虫种群的影响
不幸的是,我还没有找到关于放牧如何影响热带森林昆虫丰度的研究。目前,这里有一些关于其他类型的土地干扰如何影响昆虫的研究。
物种丰富度
许多土地利用影响研究检查的是物种丰富度而不是个体生物的丰度。尽管如此,由于个体生物数量和物种数量之间通常存在某种正相关b,以下数据点可能有一些价值。
Schulze等人, 2004
这项研究检查了印度尼西亚中苏拉威西的物种丰富度:

牛放牧不是调查的土地利用之一,但由于放牧可能先于更成熟的雨林进行砍伐和焚烧清理,随着森林年龄的减小,物种多样性普遍下降是相关的。
话虽如此,作者指出了一些与人类对土地干扰增加会减少多样性这一趋势相反的例子(第1327页):
森林干扰也可能导致昆虫在小尺度上的物种数量增加。Davis等人(2001)表明,在伐木林中,粪甲虫的小尺度物种丰富度可能高于原始森林,这是由于通常在原始森林中空间分离的重叠物种范围的存在。随着土地利用强度的增加,筑巢蜂和黄蜂的多样性甚至可能变得更高(Klein等人2002)。
丰度
Ewers等人, 2015
这篇文章研究了伐木对雨林脊椎动物和无脊椎动物的影响。再次强调,伐木不是放牧,所以结果不能完全转移,但两者都是干扰雨林的形式,所以这些信息具有弱相关性。该论文发现,与原始森林相比,伐木林"与白蚁、蚂蚁、甲虫和蚯蚓等关键功能群的丰度减少有关,而小型哺乳动物、两栖动物和食虫鸟类的丰度增加。"然而,该论文的图2显示伐木林中的总无脊椎动物生物量c更高。作者解释道:
与原始森林相比,伐木林中的总无脊椎动物生物量增加了一倍[...]。增加的无脊椎动物生物量主要由大型食草无脊椎动物组成[...]。这些食草动物不直接参与我们研究的生态系统功能,这表明食草可能是与无脊椎动物在伐木林中重要性下降的总体趋势相反的一个功能。
结合大多数脊椎动物的增加,这似乎令人不安,并表明原始雨林可能不是动物丰度的顶峰。
幸运的是,栖息地干扰似乎通常确实减少了动物丰度,正如这篇论文所解释的:"在全球受干扰和未受干扰地点的成对比较中,未受干扰地点的鳞翅目物种丰富度平均比受干扰地点高7.6倍,总丰度高1.6倍[...]。"这个结果基于一个元分析,其中大多数研究显示受干扰地区的多样性下降。
牛粪是否支持大量昆虫?
牛放牧可能增加昆虫丰度的一种方式是,如果牛粪比原始草更适合昆虫食用,从而支持更多的总虫数。当然,原始草比粪便含有更多能量,因为牛在消化过程中会提取一些能量。但如果粪便比草更适合昆虫,那么粪便可能支持更多的昆虫。以下是一个粗略的计算,旨在评估这种担忧。
由于放牧导致的昆虫减少
地球上大约有1018只虫子,地球的总陆地面积约为1.5 * 1010公顷。这给出了每公顷平均6.7 * 107只虫子。一些土地区域,如沙漠和苔原,昆虫很少,而其他地区,如热带森林和草原,可能比全球平均水平有更多昆虫。为了保守起见,假设一个温带牧场每公顷只有107只虫子,并且说(只是做一个保守的假设)其中只有约1/5在地面以上:约2 * 106。这很容易至少差一个数量级。
放牧牛实际上吃掉了多少牧场植被?
- 这本教科书说"食草动物利用的年地上初级生产力百分比差异很大,但估计通常在20%到50%之间(Scott等人1979,Detling 1988)。"
- Mekonnen和Hoekstra(2010)提到(第37页):"收获效率 - 动物实际消耗的草与现存生物量的比例 - 相当小。在美国最近的一项研究中,Smart等人(2010)显示,根据动物放牧密度的不同,收获效率在14-38%之间。"
- 这份文件建议,对于"连续,季节性"放牧,典型的收获效率(牛实际吃掉的植物比例)为25%。
假设牧场可以支持的昆虫数量与该牧场的植物生产力成正比,那么以25%的效率放牧将减少0.25 * 2 * 106 = 5 * 105只昆虫每公顷。如果放牧季节长度为0.5年,那就是每年每公顷放牧减少0.5 * 5 * 105 = 2.5 * 105昆虫年。
这里是基于初级生产力可以支持多少昆虫来估算草地昆虫种群的另一种计算方法。它估计一公顷草地可以支持约450万只家蝇大小的虫子,尽管这个数字包括被细菌和其他非昆虫吃掉的初级生产。也许支持的实际昆虫数量会更接近两段前估计的2 * 106。d 使用这种基于每公顷生产力的自下而上计算和基于全球平均昆虫密度的自上而下计算得到大致相同的结果,这很不错。
由于粪便导致的昆虫增加
以下是一些牛粪产量的估计:
牧场上牛的典型密度是每头牛1.8英亩,即每头牛0.73公顷。所以一公顷可以支持1.4头牛。如果它们每头每天产生30公斤粪便,那就是每公顷每天41公斤粪便。
这项研究创造了1.5公斤重的假"牛粪饼",所以我假设这是一个典型的大小。那么我们有41/1.5 = 27个牛粪饼每天每公顷。e
这项研究发现在传统农场的牛粪饼中平均有101.82只昆虫。而这项研究发现粪饼在春季和夏季分别持续"57-78天和88-111天"。大约为90天,即约0.25年。假设101.82只昆虫在整个时间内都留在粪饼上,那就是101.82 * 0.25 = 25个昆虫年每个粪饼。
(每公顷每天27个粪饼)*(每个粪饼25个昆虫年)= 每公顷每天700个昆虫年。再次假设放牧持续一年中的6个月,那就是(一年放牧365/2天)*(每公顷每天700个昆虫年)= 每公顷每年放牧1.3 * 105个昆虫年。
这正好是上一小节计算的由于放牧导致的昆虫年减少的一半。这很remarkable,因为我在看到结果之前就选择了所有这些计算的输入假设,并没有调整数字使它们正好匹配。
结论
由于植物生产力被占用而损失的昆虫年数与由于粪便而增加的昆虫年数的值相对于两个估计中的噪音水平基本相等。话虽如此,我弱弱地怀疑由于牛吃植物而导致的昆虫减少是一个稍大的影响,因为我对那个计算的输入假设相当保守,而且本文前面引用的研究通常表明放牧会导致昆虫种群减少。另一方面,每个牛粪饼101.82只昆虫的估计可能也很容易漏掉一堆小昆虫?此外,也许吃粪便的虫子平均来说比普通虫子更大(因此在道德上更重要)(考虑到世界上大多数虫子都很小)?
每公斤牛肉防止的昆虫年数
如果我们按字面意思接受上面的数字,尽管存在高度不确定性,我们会得出结论,牛放牧每公顷每年防止2.5 * 105 - 1.3 * 105 = 1.2 * 105个昆虫年。我假设每公顷1.4头牛,所以这是(1.2 * 105)/ 1.4 = 9 * 104个昆虫年每头牛每年。而且假设一头美国肉牛达到1200-1400磅(平均= 1300磅)并活18-22个月(平均= 20个月),那就是(20/12)* 9 * 104个昆虫年被防止(忽略年轻牛吃得比成年牛少的事实)产生约1300磅的牛肉。这是每磅115个昆虫年或每公斤活重牛约250个昆虫年。这篇文章估计一头1200磅的公牛可能产生490磅无骨修整牛肉。所以(每公斤活重250个昆虫年)*(1200公斤活重)/(490公斤可食用牛肉)= 每公斤可食用牛肉产生600个昆虫年。然后乘以约0.5作为"累积弹性因子",得到每公斤购买的可食用牛肉约300个昆虫年。
当然,这个计算忽略了牛放牧的其他影响,比如种植干草来喂养牛约6个冬季月份,为饲料场种植谷物,土壤侵蚀,气候变化,富营养化等。
每公斤购买的可食用牛肉300个昆虫年比这篇文章中计算的每公斤巴西牛肉防止约5 * 105个昆虫年痛苦的中位数估计要低得多。这种差异可能部分是准确的,因为(1)温带草原的动物密度比热带森林低,(2)美国牛的寿命比巴西牛短。但可能很大一部分差异是由于我在前面的计算中对地上昆虫丰度采取了相当保守的估计。事实上,在本文中,我假设牧场上每公顷只有约200万只地上虫子,而在巴西牛肉的计算中,我假设(使用那篇文章截至2016年3月2日的术语和参数设置)每公顷有这么多虫子:u * N / A = 4.5 * 1018 / (1.5 * 1010)= 3亿,这比前者高两个数量级。
关于粪便的其他信息
这个页面指出"木质素不被瘤胃微生物消化。"
这项研究"假设牛和水牛排泄35%的干物质饲料摄入量,所有其他放牧动物排泄25%(31,32)"。(我假设剩余的有机物被呼吸为二氧化碳、甲烷等?)如果粪便每克比未消化的植物干物质更有营养(这是真的吗?也许相反是真的?),那么牛粪中剩余的营养可能略高于35% - 也许接近50%?上面的计算也隐含地假设牛粪支持的虫子数量约为牛吃掉的饲料的一半。
这篇文章报告:"粪肥通常会增加无脊椎动物的活动,但在某些情况下减少了草地中无脊椎动物的数量(Curry等人1980)。"
每头牛防止的跳虫年数
如上所述,我假设当一头肉牛吃掉一克植被时,一半的能量/营养被牛移除,一半最终进入粪便。
这本书说:"粪饼中昆虫和其他生物的群落比你想象的更复杂。真菌在粪便中生长并从中获取营养。反过来,某些跳虫和螨类以真菌为食[...]。"
这个页面说:
跳虫主要生活在土壤表层10厘米内的充满空气的孔隙中,在落叶层、粪饼、堆肥堆和任何腐烂的动植物物质中。虽然它们很小,但数量可能非常多 - 我曾在一只死鸟下收集到相当于每平方米150万只,但通常在草地土壤中约为每平方米25,000只。有些生活在植被中,在落叶和粪便中或只在较深的土壤深度,但它们可以根据天气在土壤/落叶/粪便/植被剖面上下移动。
这篇文章估计每克草地植被干物质可以创造3到6个跳虫年,加上其他无脊椎动物的生命。对于特定的腐殖植被每克,数量可能约为两倍。由于我假设一头牛有效地移除了它吃掉的有机物的一半,我将做一个可能保守的假设,即一头牛消耗的每克干物质只防止3/2 = 1.5个跳虫年被创造。
这个页面报告说,一头典型的"干奶牛"(即,一头怀孕后期的母牛)在吃"绿色牧草"时每天消耗大约28-30磅(平均= 29磅)干物质。f 这个页面说"一头1000磅(454公斤)的牛,无论是否有未断奶的小牛,都是一个动物单位,假设这样一头牛每天消耗26磅(约12公斤)的饲料干物质。"我假设肉牛的干物质摄入量大致相似?这份文件给出了一个例子:"一头400公斤的公牛每天吃10公斤干物质"。
我将使用每天29磅的数字。当然,当牛年轻且体型较小时,这个数字会更小。如果我们假设牛的体重随时间的增长是一条直线 - 从图表的原点开始,即(0,0)点 - 并且每日饲料与体重成正比(这些假设并不准确,但不太可能大幅偏离),那么平均每天消耗量将是这个数量的一半:29/2 = 14.5磅 = 7公斤 = 7000克干物质。(如果我们的体重随时间变化的线不是从图表的原点开始,而是认识到新生动物从一开始就有大于零的重量,上述计算结果会略高一些。)
(每头牛每天吃7000克干物质)*(每克吃掉的干物质防止1.5个跳虫年)= 每头牛每天防止11,000个跳虫年!
这个页面报告说,美国的肉牛通常在18到22个月大时屠宰(平均= 20个月),并在饲料场度过4到6个月(平均= 5个月),这表明约有20-5 = 15个月用于放牧草。
(15个月)*(每月约30天)*(每头牛每天防止11,000个跳虫年)= 每头牛在其放牧寿命内防止500万个跳虫年。(这甚至还没有计算其他被防止的非跳虫无脊椎动物。)
用水杀死的浮游动物
Tomasik("Water ...")估计,从湖泊、水库或河流中抽取一升水会杀死大约10只甲壳类浮游动物(桡足类、枝角类等)。这个数字很粗略,很容易高出一个数量级,特别是如果我们也计算非甲壳类浮游动物如轮虫。
牛肉生产众所周知可以使用大量水,主要是用于灌溉牛吃的植被。Tomasik("The Fine ...")根据Beckett和Oltjen(1993)的数据计算,在美国养一头牛"在其一生中平均需要742,000升蓝水。"然而,Tomasik("The Fine ...")中的其他来源表明,根据具体情况,蓝水足迹可能高出几倍,例如在干旱的加利福尼亚。
Maupin等人(2014)说(第25页),在2010年美国,"从地表水源抽取的水[...]占灌溉总抽水量的57%"。假设地下水基本上没有浮游动物,我们有742,000 * 0.57 = 每头牛约420,000升地表水。g假设每升使用的地表水杀死约10只甲壳类浮游动物,那就是每头牛杀死略多于400万只甲壳类浮游动物。
这与每头牛防止约500万个跳虫年相比如何?我认为浮游动物的死亡率在某些方面不那么重要:
- 一个跳虫年的痛苦包含几次跳虫死亡,因为大多数跳虫(特别是早死的后代)活不到一年。500万个跳虫年可能更像是,比如说,约5000万次跳虫死亡,或者在那个范围内。
- 被灌溉杀死的浮游动物后来会以其他方式死亡,所以现在杀死它们造成的总伤害比看起来要小。相比之下,让一只跳虫存在会创造一次额外的完整死亡(和生命中的痛苦),否则不会存在。
在需要大量灌溉饲料作物和牧场的地区,浮游动物的死亡率可能比上述数字高出几倍,可能开始在重要性上与跳虫死亡相媲美。当然,在需要大量灌溉的干旱地区,牛放牧似乎无论如何都可能增加无脊椎动物的痛苦,因为灌溉在以前干旱的土地上创造了更多的总植被。因此,杀死浮游动物和增加植物生长这两个因素都反对灌溉密集型牛肉生产。
如果我们除了甲壳类浮游动物外还计算轮虫呢?它们可能会使水的抽取导致的无脊椎动物死亡增加一个数量级左右。然而,如果我们除了水生甲壳类动物外还计算轮虫,我们可能也应该除了跳虫外还计算陆生线虫,因为线虫和轮虫的神经元数量相似(Tomasik "Brain ...")。我的总体感觉是,轮虫在湖泊和河流中通常比甲壳类浮游动物多出一个数量级左右,或者可能两个数量级;例如,请参见Tomasik("Zooplankton Densities in Lakes and Reservoirs")中的"Snow(1974)"表格或Tomasik("Zooplankton Densities in Rivers")中的"Orsi和Mecum(1986)"和"Thorp和Mantovani(2005)"结果。相比之下,Tomasik("Abundances ...")中的"Brady(1974)"和"Curl和Truelove(1986)"结果表明,土壤线虫可能比跳虫多出两到三个数量级。因此,土壤线虫可能比跳虫多出的数量比轮虫比甲壳类浮游动物多出的数量更多。因此,牛放牧对陆生无脊椎动物的影响似乎仍然可能比它对水生无脊椎动物的杀伤更重要。
尽管如此,牛肉生产中涉及的浮游动物大屠杀并非微不足道,考虑到这个分析中的高度不确定性,杀死浮游动物的考虑值得进一步审查。
那么牛放牧实际上是否确实减少而不是增加陆生无脊椎动物的种群这一事实呢?嗯,从地表水中抽水是否增加而不是减少淡水浮游动物的总痛苦也不清楚。假设这两个问题上的不确定性程度相似,那么降级我们的数值估计以考虑这种对影响方向的不确定性应该同样适用于跳虫数字和浮游动物数字。例如,如果我们认为有60%的机会影响是假设的方向,40%的机会影响在另一个方向上相等且相反,那么上述数字应该乘以0.6 - 0.4 = 0.2。
有机放牧与传统放牧
有机放牧农场似乎有更高的粪便昆虫丰度,这似乎是不好的。
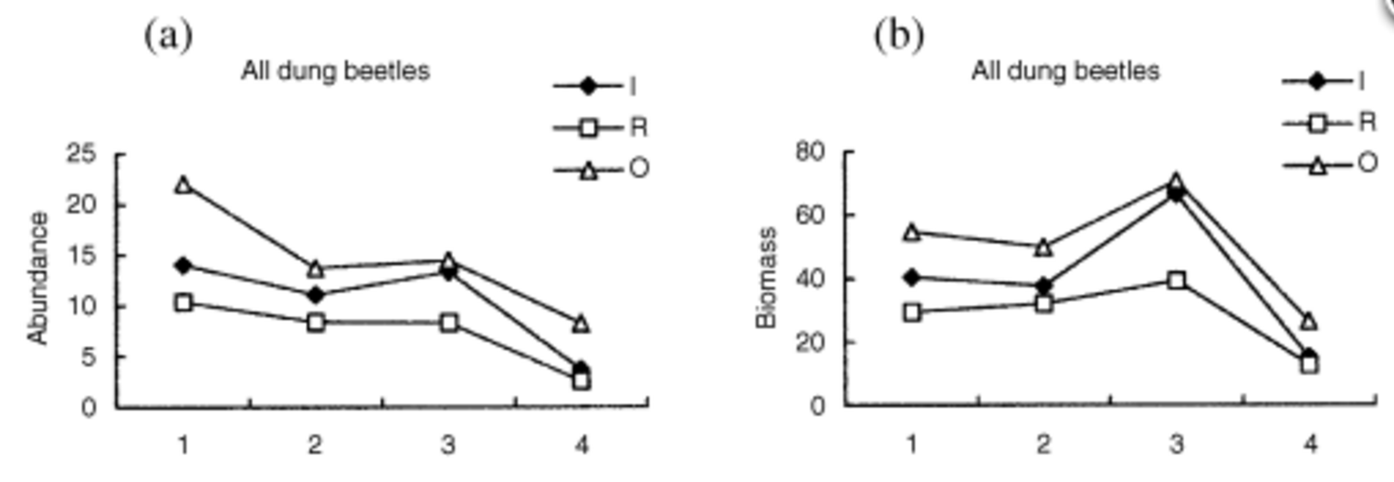
Hutton和Giller, 2003
这项研究发现"与密集和粗放放牧农场相比,有机农场的甲虫生物量、多样性和物种丰富度显著更高。[...] 包括使用化学肥料、兽药(如伊维菌素)和移除草本田间边界在内的密集农业管理可能对粪甲虫生物多样性和粪便分解有害。"以下图表显示了三种类型的牛放牧农场("I = 密集,R = 粗放放牧,O = 有机")随时间的趋势("1 = 春季,2 = 初夏,3 = 晚夏,4 = 秋季"):

Geiger等人, 2010
这项研究也发现有机牧场的昆虫丰度更高:

对脊椎动物的影响
本文主要关注昆虫数量,因为虫子的总生物量大于脊椎动物的总生物量。然而,放牧对脊椎动物的影响对整体道德评估也很重要。
食草动物
直观上,在一个地区放牧更多的牛应该意味着更少的野生食草动物。先验地,总(野生+家养)大型食草动物生物量的净变化并不清楚。
我还没有看过关于西方国家放牧如何影响大型野生食草动物的研究。然而,这里有一项关于非洲放牧的研究:
非洲草原野生食草动物的减少至少部分归因于与牲畜争夺饲料资源(Ottichilo等人,2000a;de Leeuw等人,2001;Said,2003)。野生食草动物和牛之间的竞争通常被认为是存在的(Lamprey,1963;Casebeer和Koss,1970;Field,1975;van Dyne等人,1980;De Bie,1991),特别是在降雨量低的时期(de Boer和Prins,1990;Voeten和Prins,1999)。在这些时期,牛通常集中在剩余的水体周围,显然会取代野生食草动物并减少它们的资源可用性(Western,1975;Coppolillo,2000;de Leeuw等人,2001)。
然而,我们的研究没有提供牛在空间上取代野生食草动物的强有力证据。
捕食者
为了保护牲畜,捕食者可能会被杀死。这份报告说到畜牧业:"与牧民的资源冲突威胁着野生捕食者物种"。
这个页面解释道:
像灰熊和墨西哥灰狼这样的关键捕食者在西南生态系统中被"捕食者控制"计划驱逐灭绝,这些计划旨在保护畜牧业。雪上加霜的是 - 并且违背了现代保护科学 - 畜牧业仍然是反对在亚利桑那州和新墨西哥州重新引入墨西哥灰狼等物种的本来受欢迎努力的主要反对者。
然而,被杀死的总数相对较少。美国的牛群数量约为9000万。相比之下,美国农业部野生动物服务部门在2013年杀死的动物总数略高于400万,而其中只有一小部分是为了保护牲畜。话虽如此,可能有一些捕食者是私下或由其他机构杀死的?
当然,减少捕食者种群对野生动物还有其他影响。总的来说,这些影响可能是净好的,尽管需要进一步调查。
鸟类
这篇文章解释说放牧有时可以增加鸟类栖息地:
"在残留(原生)草原中,外来(草)物种入侵,蓟随之而来,"Brite说。"我们试图维持草原的完整性,以便于维护和水禽及鸣禽的多样性(混合)。当雀麦和蓝草占据主导地位时,你会得到更多的单一文化。它们覆盖得更快,这对鸟类来说不那么有吸引力。"
用于管理这些草的最常见工具包括放牧、割草和定期燃烧,之后是一段休息期。
与当地牧场主合作,允许牛在某些水禽生产区使用许可证系统进行放牧。这种放牧密切模仿了原生野牛曾经提供的刺激植物生长的效果。
这个页面指出,可能会使用杀鸟剂来保护牲畜饲料。在一个例子中,"美国农业部员工在新泽西州格里格斯敦分发毒药,杀死了估计5,000只在当地农场饲料场和奶牛场造成困扰的椋鸟。"
被牛杀死的田野动物
放牧的牛会踩踏并可能有时吞食牧场上的大量无脊椎动物,以及可能还有一些脊椎动物。当然,原生草原和森林中的大型野生动物,如鹿,也会做同样的事。
脚注
- 以下是三个地点的详细信息(第4-6页):
草地是一个古老的卫理公会营地的无树木部分,已经连续作为草地使用了五十多年[...]。每年都会从草地上割草,并将干草卖给来访的农民用来喂马[...]。
日间牧场,在本文中将称为"植被丰富的牧场"[...],由约25英亩组成,其中一小部分是开放林地。它从小溪延伸到道路,两侧约一半是树林,但大多数观察都是在树林之间的开放部分进行的。
夜间牧场,在本讨论中称为"植被稀少的牧场"[...],只有约15英亩,虽然没有过度放牧,但被利用到其承载能力的极限,因为牛经过它到达日间牧场,可能要到上午9:00或10:00才会被转移,这取决于农民何时从牛奶站回来。
因此,八头奶牛和一头公牛每天只在25英亩的牧场上待7到8小时,而在15英亩的牧场上待24小时中的其余时间,减去挤奶的时间,约14小时。此外,由于这个牧场靠近谷仓,经常有马被放出来,结果是草甚至杂草都很短,而夜间牧场的草总是更长,像毛茛这样的杂草长得很高。[...] 就原始土壤条件和海拔而言,所有三个田地都非常相似。
- 例如:
- "稳定性-多样性假说指出,一个群落越多样化,群落就越稳定和富有生产力。这个假说的基础是,与多样性较低的群落相比,更稳定和富有生产力的群落可以更好更有效地利用其资源。"(来源)如果我们假设更多的生产力意味着更多的动物丰度,那么这个假说认为生物多样性与动物丰度相关。
- "物种能量假说认为可用能量的数量限制了系统的丰富度。[...] 这个假说提出,净初级生产力越高,就能支持越多的个体,一个地区就会有越多的物种。"(来源)
话虽如此,这种相关性远非完美:"在广泛的空间尺度上,物种丰富度的增加不一定与个体数量的增加相联系,而个体数量的增加又不一定与生产力的增加相关。[6]"
- 注意,生物量只测量了体长大于5毫米的无脊椎动物:"通过将所有体长>5毫米的无脊椎动物放在吸水纸上并称量吸水后的无脊椎动物,估算了样本的总无脊椎动物生物量。我们排除了小型无脊椎动物,尽管它们数量众多,但由于它们的体型小,可能对总群落生物量37, 38以及群落水平的能量流动37, 39的贡献较少,不如数量较少但更大的生物。" (返回)
- 如果远远少于一半的初级生产被虫子吃掉,那么支持的昆虫数量可能会低于每公顷2 * 106。另一方面,家蝇比平均虫子大,这意味着支持的典型虫子数量可能比这个计算建议的要大。一只典型的虫子的质量可能在约3毫克左右,而这一节估计一只家蝇的质量约为20毫克。 (返回)
- 这本教科书报告说"一头成年牛平均每天排出12个粪饼[...](Waterhouse 1977)。"假设每公顷1.4头牛,这意味着每公顷每天17个粪饼,这比我在正文中使用的27的估计要低一些。 (返回)
- 在冬季,牛会吃干草、青贮饲料等。我假设在这段时间内每天吃的干物质生物量与在绿色牧场上相同。 (返回)
- 并非所有742,000升水都用于灌溉,非灌溉用水中来自地表水源的比例可能不完全是0.57。然而,742,000升中几乎所有都是灌溉用水,所以这个技术细节可以忽略不计。 (返回)
